Межгосударственный стандарт ГОСТ IEC 60079-10-1-2011
ГОСТ IEC 60079-10-1-2011
МЕЖГОСУДАРСТВЕННЫЙ СТАНДАРТ
ВЗРЫВООПАСНЫЕ СРЕДЫ
Часть 10-1
Классификация зон. Взрывоопасные газовые среды
Explosive atmospheres. Part 10-1. Classification of areas. Explosive gas atmospheres
МКС 29.260.20
Дата введения 2013-02-15
Предисловие
Цели, основные принципы и порядок проведения работ по межгосударственной стандартизации установлены ГОСТ 1.0-92 "Межгосударственная система стандартизации. Основные положения" и ГОСТ 1.2-2009 "Межгосударственная система стандартизации. Стандарты межгосударственные, правила и рекомендации по межгосударственной стандартизации. Правила разработки, принятия, применения, обновления и отмены"
Сведения о стандарте
1 ПОДГОТОВЛЕН Автономной некоммерческой национальной организацией "Ех-стандарт" (АННО "Ех-стандарт")
2 ВНЕСЕН Федеральным агентством по техническому регулированию и метрологии (Росстандарт)
3 ПРИНЯТ Межгосударственным советом по стандартизации, метрологии и сертификации (протокол от 29 ноября 2011 г. N 40 ).
За принятие стандарта проголосовали:
|
Краткое наименование страны по МК (ИСО 3166) 004-97 |
Код страны по МК (ИСО 3166) 004-97 |
Сокращенное наименование национального органа по стандартизации |
|
Беларусь |
BY |
Госстандарт Республики Беларусь |
|
Казахстан |
KZ |
Госстандарт Республики Казахстан |
|
Кыргызстан |
KG |
Кыргызстандарт |
|
Российская Федерация |
RU |
Росстандарт |
|
Таджикистан |
TJ |
Таджикстандарт |
|
Узбекистан |
UZ |
Узстандарт |
4 Приказом Федерального агентства по техническому регулированию и метрологии от 22 декабря 2011 г. N 1619-ст межгосударственный стандарт ГОСТ IEC 60079-10-1-2011 введен в действие в качестве национального стандарта Российской Федерации с 15 февраля 2013 г.
5 Настоящий стандарт идентичен международному стандарту IEC 60079-10-1:2006* Explosive atmospheres - Part 10-1: Classification of areas. Explosive gas atmospheres (Взрывоопасные среды. Часть 10-1. Классификация зон. Взрывоопасные газовые среды).
Степень соответствия - идентичная (IDT).
Стандарт подготовлен на основе применения ГОСТ Р МЭК 60079-10-1-2008
Информация об изменениях к настоящему стандарту публикуется в ежегодно издаваемом информационном указателе "Национальные стандарты", а текст изменений и поправок - в ежемесячно издаваемом информационном указателе "Национальные стандарты" . В случае пересмотра (замены) или отмены настоящего стандарта соответствующее уведомление будет опубликовано в ежемесячно издаваемом информационном указателе "Национальные стандарты". Соответствующая информация, уведомление и тексты размещаются также в информационной системе общего пользования - на официальном сайте Федерального агентства по техническому регулированию и метрологии в сети Интернет
Введение
Настоящий стандарт идентичен проекту первого издания международного стандарта IEC 60079-10-1 "Взрывоопасные среды. - Часть 10-1. Классификация взрывоопасных зон - Взрывоопасные газовые среды", входящего в комплекс международных стандартов МЭК, регламентирующих требования к взрывозащищенному электрооборудованию.
Установленные в стандарте требования обеспечивают вместе со стандартами по видам взрывозащиты безопасность применения электрооборудования на опасных производственных объектах.
Проект первого издания стандарта IEC 60079-10-1, на основе которого разработан настоящий стандарт, введен в международную систему сертификации МЭКЕх и европейскую систему сертификации на основе Директивы 94/9 ЕС.
Установленная в настоящем стандарте методика оценки уровня опасности производственных зон базируется на расчетных значениях параметров, связанных с пространственными и временными характеристиками существования в них взрывоопасных газовых сред, и распространяется на производственные зоны внутри и вне помещений, включая транспортные средства и хранилища, и устанавливает порядок классификации этих зон по степени опасности возникновения взрыва от источников воспламенения, связанных с использованием электрооборудования.
Достоинством настоящего стандарта является то, что он содержит методики количественной оценки влияния на класс взрывоопасности и размеры взрывоопасной зоны различных факторов, характеризующих свойства и состояние взрывоопасных смесей, особенности технологического оборудования, параметры вентиляции и т.д.
Подразделение взрывоопасных зон по уровню опасности на три класса является радикальным и обусловлено принятым в настоящее время подразделением взрывозащищенного электрооборудования по уровню взрывозащиты на три уровня - "повышенная надежность против взрыва", "взрывобезопасный" и "особовзрывобезопасный". При такой классификации взрывоопасной зоне каждого класса соответствует электрооборудование определенного уровня взрывозащиты.
1 Область применения
Настоящий стандарт устанавливает классификацию взрывоопасных зон, в которых могут образоваться взрывоопасные смеси горючих газов или паров с воздухом, предназначенную для получения исходных данных, необходимых при использовании электрооборудования и устройстве электроустановок в таких зонах.
Стандарт распространяется на зоны, в которых существует возможность воспламенения смеси горючих газов или паров с воздухом при нормальных атмосферных условиях (примечание 2), но не распространяется на:
a) шахты, опасные по газу и/или пыли;
b) предприятия по производству и обработке взрывчатых веществ;
c) зоны, где существует возможность воспламенения из-за присутствия в воздухе горючей пыли или волокон;
d) зоны, аварии в которых выходят за рамки нарушений, рассматриваемых настоящим стандартом (примечание 3);
e) помещения, используемые в медицинских целях;
f) бытовые помещения.
Настоящий стандарт не учитывает последствия аварий.
Определения терминов приведены вместе с основными принципами и методиками классификации опасных зон.
Рекомендации по определению уровня взрывоопасности зон для конкретных отраслей промышленности или применений должны устанавливаться нормативными документами для этих отраслей промышленности.
Примечания
1 Горючий туман (аэрозоль) может образовываться или присутствовать одновременно с горючими парами. Жидкости, которые в соответствии с настоящим стандартом не рассматриваются как опасные (жидкости с высокой температурой вспышки), высвобождаясь под давлением, могут образовывать горючий туман. В таких случаях строгое применение классификации взрывоопасных зон для газов и паров не подходит для выбора оборудования.
2 Настоящий стандарт рассматривает зону как трехмерное пространство.
3 Атмосферные условия допускают возможность изменения давления и температуры выше и ниже эталонного уровня 101,3 кПа (1013 мбар) и 20 °С (293 К) в случаях, когда эти изменения оказывают незначительное влияние на характеристики взрывоопасности горючих газов и паров.
4 К авариям, упомянутым выше, относятся, например, разрушение химического реактора или трубопровода, а также другие повреждения оборудования, которые невозможно предсказать.
5 На любой технологической установке помимо источников воспламенения, связанных с электрооборудованием, могут существовать различные источники воспламенения другой природы. В таких случаях должны быть также предусмотрены меры обеспечения безопасности, которые могут быть основаны на методах, предлагаемых в настоящем стандарте.
2 Нормативные ссылки
Приведенные ниже документы являются обязательными для применения настоящего стандарта*. Для документов с датой опубликования применяют только указанные издания. В тех случаях, когда дата опубликования не указана, применяется последнее издание приведенного документа (включая любые поправки).
IEC 60050-426 International Electrotechnical Vocabulary - Part 426: Equipment for explosive atmospheres (Международный электротехнический словарь (МЭС) - Глава 426: Электрооборудование для взрывоопасных сред)
IEC 60079-4 Electrical apparatus for explosive gas atmospheres - Part 4: Method of test for ignition temperature (Электрооборудование для взрывоопасных газовых сред - Часть 4. Метод определения температуры самовоспламенения)
IEC 60079-4A Electrical apparatus for explosive gas atmospheres - Part 4: Method of test for ignition temperature. First supplement (Первое дополнение к IEC 60079-4 (1966). Электрооборудование для взрывоопасных газовых сред - Часть 4. Метод определения температуры самовоспламенения)
IEC 60079-20 Electrical apparatus for explosive gas atmospheres - Part 20: Data for flammable gases and vapours, relating to the use of electrical apparatus (Электрооборудование для взрывоопасных газовых сред - Часть 20. Данные для горючих газов и паров, относящиеся к применению электрооборудования)
3 Термины и определения
В настоящем стандарте применены следующие термины с соответствующими определениями.
Примечание - Дополнительные определения, относящиеся к взрывоопасным средам, приведены в главе 426 Международного электротехнического словаря (МЭС) IEC 60050(426).
Примечание - Секретариата: Определения будут приведены в соответствие с последним изданием IEC 60079-0 (в соответствии с документом ТК 31 о правильных методах работы). На данном этапе комментарии по определениям не требуются.
3.1 взрывоопасная среда (explosive atmosphere): Смесь горючего газа, пара, тумана или твердых частиц горючего вещества (пыли или волокон) с воздухом при нормальных атмосферных условиях, в которой при воспламенении горение распространяется на весь объем несгоревшей смеси.
[МЭС 426-02-02, измененный]
3.2 взрывоопасная газовая среда (explosive gas atmosphere): Смесь горючего газа или пара с воздухом при нормальных атмосферных условиях, в которой при воспламенении горение распространяется на весь объем несгоревшей смеси.
[МЭС 426-02-03, измененный]
Примечания
1 Смесь, концентрация которой превышает верхний концентрационный предел воспламенения (ВКПР), не является взрывоопасной газовой смесью, но может стать таковой. В ряде случаев рекомендуется рассматривать ее как взрывоопасную, в частности, при классификации зон.
2 Некоторые газы взрывоопасны при концентрации 100%.
3.3 взрывоопасная зона (hazardous area): Зона, в которой имеется или может образоваться взрывоопасная газовая смесь в объеме, требующем специальных мер защиты при конструировании, изготовлении и эксплуатации электроустановок.
[МЭС 426-03-01, измененный]
3.4 невзрывобезопасная зона (non-hazardous area): Зона, в которой не может образоваться взрывоопасная газовая среда в объеме, требующем специальных мер защиты при конструировании, изготовлении и эксплуатации электроустановок.
[МЭС 426-03-02, измененный]
3.5 классы взрывоопасных зон (zones): Взрывоопасные зоны, подразделяющиеся на классы 0, 1, 2 в зависимости от частоты и длительности присутствия взрывоопасной газовой смеси:
3.6 зона класса 0 (zone 0): Зона, в которой взрывоопасная газовая среда (смесь с воздухом горючих веществ в виде газа, пара или тумана) присутствует постоянно или в течение длительных периодов времени или часто.
[МЭС 426-03-03, измененный]
3.7 зона класса 1 (zone 1): Зона, в которой существует вероятность образования взрывоопасной газовой среды (смеси с воздухом горючих веществ в виде газа, пара или тумана) в нормальных условиях эксплуатации.
[МЭС 426-03-04, измененный]
3.8 зона класса 2 (zone 2): Зона, в которой вероятность образования взрывоопасной газовой среды (смеси с воздухом горючих веществ в виде газа, пара или тумана) в нормальных условиях эксплуатации маловероятна, а если она возникает, то существует непродолжительное время.
[МЭС 426-03-05, измененный]
Примечания
1 В этом определении "непродолжительное время" означает полное время, в течение которого существует взрывоопасная газовая смесь, и включает общее время утечки плюс время рассеивания взрывоопасной смеси после прекращения утечки. (Термин "время существования", используемый в приложении В, относится только к одной части общего времени, в течение которого взрывоопасная среда будет существовать).
2 Частоту возникновения и длительность присутствия взрывоопасной газовой смеси допускается определять по правилам (нормам) соответствующих отраслей промышленности.
3.9 источник утечки (source of release): Элемент технологического оборудования, из которого горючий газ, пар или жидкость могут высвободиться в атмосферу в объеме, достаточном для образования взрывоопасной газовой смеси.
[МЭС 426-03-06, измененный]
3.10 степень утечки (grades of release): Характеристика выделения горючего вещества во взрывоопасную зону из источника утечки в порядке убывания интенсивности:
a) постоянная утечка (непрерывная);
b) первой степени;
c) второй степени.
Источник утечки может характеризоваться любой степенью утечки или их сочетанием.
3.11 постоянная (непрерывная) утечка (continuous grade of release): Утечка, которая существует постоянно, происходит часто или существует длительное время.
3.12 утечка первой степени (primary grade of release): Утечка, появление которой носит периодический или случайный характер при нормальном режиме работы технологического оборудования.
3.13 утечка второй степени (secondary grade of release): Утечка, которая отсутствует при нормальном режиме работы технологического оборудования, а если она возникает, то редко и кратковременно.
3.14 интенсивность (скорость) утечки (release rate): Количество горючего вещества, способного образовать при соединении с воздухом взрывоопасную смесь, высвобождаемое в единицу времени источником утечки.
3.15 нормальный режим работы технологического оборудования (normal operation): Режим работы технологического оборудования, характеризующийся рабочими значениями всех параметров.
Примечания
1 Незначительная утечка горючего вещества, способного образовать при соединении с воздухом взрывоопасную смесь, должна рассматриваться как нормальный режим. Например, утечку из уплотнений, находящихся в контакте с горючим веществом внутри оборудования, рассматривают как незначительную.
2 Аварии (например, повреждение уплотнений насоса, прокладок фланцев или случайный выброс горючего вещества, способного образовать взрывоопасную смесь), требующие срочной остановки и ремонта оборудования, не рассматривают как нормальный режим.
3 Нормальный режим работы включает в себя пусковые условия и условия выключения.
3.16 вентиляция (ventilation): Движение воздуха и его замещение свежим воздухом за счет перепада атмосферного давления или температуры окружающей среды или с помощью искусственных средств (например, приточных или вытяжных вентиляторов).
3.17 нижний концентрационный предел распространения пламени (воспламенения) (НКПР) (lower explosive limit (LEL): Минимальное содержание горючего газа или пара в воздухе, при котором возможно распространение пламени по смеси на любое расстояние от источника.
[МЭС 426-02-09, измененный]
3.18 верхний концентрационный предел распространения пламени (воспламенения) (ВКПР) (upper explosive limit (LEL*): Максимальное содержание горючего газа или пара в воздухе, при котором возможно распространение пламени по смеси на любое расстояние от источника.
[МЭС 426-02-10, измененный]
3.19 относительная плотность газа или пара (relative density of a gas or a vapour): Отношение плотности газа или пара к плотности воздуха при одинаковых значениях давления и температуры (плотность воздуха равна 1)
3.20 горючий материал (вещество) [flammable material (flammable substance)]: Материал, способный самовозгораться или образовывать горючий газ или пар.
3.21 горючая жидкость (flammable liquid): Жидкость, способная образовывать горючие пары в прогнозируемых условиях использования.
3.22 горючий газ или пар (flammable gas or vapour): Газ или пар, который в смеси с воздухом в определенной пропорции при нормальных атмосферных условиях образует взрывоопасную смесь.
3.23 горючий аэрозоль (flammable mist): Мелкие капли горючей жидкости, рассеянные в воздухе и образующие взрывоопасную смесь.
3.24 температура вспышки (flashpoint): Наименьшая температура жидкости, при которой в условиях специальных испытаний над ее поверхностью образуется смесь паров с воздухом, способная воспламеняться.
[МЭС 426-02-14, измененный]
3.25 точка кипения (boiling point): Температура жидкости, кипящей при давлении окружающей атмосферы 101,3 кПа (1013 мбар).
3.26 давление насыщенного пара (vapour pressure): Давление, при котором твердое вещество или жидкость находится в состоянии равновесия с собственными парами. Это значение зависит от вещества и температуры.
3.27 температура самовоспламенения взрывоопасной газовой смеси (ignition temperature of an explosive gas atmosphere): Наименьшая температура нагретой поверхности, при которой в условиях специальных испытаний наблюдается воспламенение взрывоопасной газовой смеси.
Примечание - Метод определения данной температуры установлен IEC 60079-4 и IEC 60079-4A.
3.28 размер (протяженность) зоны (extent of zone): Расстояние в любом направлении от источника утечки до точки, где газовоздушная смесь разбавляется воздухом до концентрации меньше нижнего концентрационного предела распространения пламени.
3.29 сжиженный горючий газ (liquified flammable gas): Горючее вещество, которое хранят и транспортируют как жидкость и которое при нормальных атмосферных условиях (температуре окружающей среды и атмосферном давлении) представляет собой горючий газ.
4 Безопасность и классификация зон
4.1 Принципы безопасности
Технологическое оборудование, связанное с переработкой или хранением горючих материалов, следует проектировать, эксплуатировать и обслуживать таким образом, чтобы утечки горючих веществ и, следовательно, уровень взрывоопасности и размер взрывоопасной зоны, в которой оно располагается, в нормальном режиме работы и при авариях, были минимальными по частоте, длительности и количеству высвобождаемого горючего вещества.
На ранних этапах разработки проекта технологического оборудования необходимо выявить и провести обследование его частей, которые могут стать источниками утечки горючего вещества, и рассмотреть возможность изменения их конструкции, чтобы снизить до минимума вероятность и частоту таких утечек, а также количество и интенсивность выделения горючего вещества. Это необходимо учитывать при определении класса зоны.
При обслуживании технологического оборудования в условиях, отличных от нормального режима работы, например, во время пуска в эксплуатацию или техобслуживания, размеры взрывоопасной зоны могут отличаться от установленных в соответствии с проведенной классификацией. В таких случаях безопасность должна быть обеспечена использованием специальных средств защиты и оборудования.
В ситуациях, когда может образоваться взрывоопасная газовая смесь, должны быть приняты меры обеспечения безопасности, которые позволяют:
a) устранить возможность возникновения взрывоопасной газовой смеси вокруг источника воспламенения, или
b) устранить источник воспламенения.
В случаях, когда невозможно обеспечить указанные меры безопасности, средства защиты, технологическое оборудование и способ проведения технологического процесса должны быть такими, чтобы вероятность одновременного наличия взрывоопасной газовой смеси и источника воспламенения была ниже допустимого уровня.
Необходимый уровень безопасности может быть обеспечен применением как одной из перечисленных мер, если это признано эффективным, так и их сочетанием.
4.2 Цели классификации зон
Классификация зон - это метод анализа окружающей среды, в которой может присутствовать взрывоопасная газовая смесь, проводимый для выбора электрооборудования и устройства электроустановок, эксплуатация которых в присутствии данной смеси должна быть безопасной. Классификацию проводят с учетом разделения взрывоопасных газовых смесей по группам и температурным классам.
На практике очень трудно гарантировать эксплуатацию промышленных объектов, связанных с переработкой горючих материалов, таким образом, чтобы в воздухе отсутствовали горючие газы и в электрооборудовании не возникали источники воспламенения. Поэтому при наличии взрывоопасной газовой смеси следует использовать электрооборудование, конструкция которого снижает до минимума вероятность возникновения источника воспламенения. И напротив, если вероятность возникновения взрывоопасной газовой смеси мала, то требования по взрывозащите к конструкции электрооборудования могут быть менее жесткими.
После выполнения классификации зон проводят оценку риска, чтобы оценить потребность в применении оборудования с более высоким или более низким по сравнению с обычно необходимым уровнем защиты в соответствии с последствиями воспламенения взрывоопасной среды. Требования к уровню защиты оборудования записывают соответствующим образом на чертежах классификации зон для правильного выбора оборудования.
Очень редко простым обследованием установки или ее конструкции можно установить, какие части установки относятся к одному из трех классов взрывоопасных зон (классу 0, 1 или 2). При классификации взрывоопасных зон необходимо проводить детальный анализ возможных условий возникновения взрывоопасной газовой смеси.
Предварительно, на первом этапе классификации, следует оценить вероятность возникновения взрывоопасной газовой смеси, исходя из определения зон классов 0, 1 и 2. Только после определения совокупности значений - возможной частоты и длительности утечки (следовательно, и ее степени), скорости истечения и концентрации горючего вещества, надежности вентиляции и других факторов, влияющих на уровень взрывоопасности зоны, - можно установить возможность возникновения взрывоопасной газовой смеси.
Такой подход требует подробного анализа каждого элемента технологического оборудования, которое может стать источником утечки горючих веществ, способных образовать при соединении с воздухом взрывоопасную смесь.
Следует стремиться к тому, чтобы число и размеры зон классов 0 или 1 были минимальными. Это может быть обеспечено выбором конструкции технологического оборудования и условиями его эксплуатации. Необходимо обеспечить, чтобы зоны в основном относились к классу 2 или не были взрывоопасными. Если утечка горючего вещества неизбежна, необходимо использовать такое технологическое оборудование, которое является источником утечек второй степени, а если и это невозможно, т.е. когда неизбежны утечки первой степени или постоянные (непрерывные), то их число должно быть минимальным. При классификации зон перечисленные принципы имеют главное значение. Для снижения уровня взрывоопасности зоны, конструкция, условия эксплуатации и размещение технологического оборудования должны быть такими, чтобы даже при авариях утечка горючего вещества в атмосферу была минимальной.
После установления класса зоны и оформления соответствующих документов не допускается замена оборудования или изменение хода ведения технологического процесса. Это возможно только с согласия уполномоченного лица (организации), отвечающего за классификацию зоны. Несанкционированные действия в этой области могут привести к изменению уровня взрывоопасности зоны. Необходимо обеспечить, чтобы все оборудование, определяющее класс зоны, прошедшее техобслуживание, было тщательно проверено во время и после монтажа для гарантии сохранения им целостности первоначальной конструкции, влияющей на безопасность, перед началом дальнейшей эксплуатации.
5 Методика классификации зон
5.1 Общие положения
Классификация зон должна проводиться специалистами, знающими свойства горючих газов и паров, технологический процесс и оборудование, в сотрудничестве с инженерами по безопасности, электриками и другим техническим персоналом.
В следующих подразделах содержатся рекомендации по методике классификации зон, в которых присутствует взрывоопасная газовая смесь, и по определению размеров зон класса 0, 1 и 2. Пример построения алгоритма для классификации взрывоопасных зон приведен на рисунке С.1.
Классификация взрывоопасных зон должна быть проведена до пуска установки, когда уже имеются в наличии и утверждены исходный технологический процесс, принципиальные схемы электротехнических устройств и общий план территории. Результаты первоначальной классификации должны пересматриваться в течение периода эксплуатации установки.
5.2 Источники утечки
Для установления класса взрывоопасной зоны должны быть определены источники и степени утечек.
Так как взрывоопасная газовая смесь может возникнуть только при смешивании горючего газа или пара с воздухом, необходимо установить наличие любого из горючих материалов в рассматриваемой зоне. В первую очередь должно быть установлено, находится ли горючий газ или пар (также, горючие жидкости и твердые вещества, которые могут образовать газ или пар) внутри технологического оборудования, которое может быть полностью закрытым или не закрытым. Кроме этого, должно быть выявлено технологическое оборудование, содержащее внутри взрывоопасную газовую смесь, и определены источники утечки горючих веществ, в результате которых взрывоопасная газовая смесь может образоваться снаружи.
Каждый элемент технологического оборудования (например, резервуар, насос, трубопровод, химический реактор и др.) следует рассматривать как возможный источник утечки горючего вещества. Если какой-либо элемент оборудования не содержит горючее вещество, он не является источником образования взрывоопасной зоны вокруг себя. То же относится к элементам, содержащим горючие вещества, утечка которых в атмосферу исключена (например, трубопровод с высоким качеством сварки не рассматривают как источник утечки).
Если тот или иной элемент оборудования является источником утечки горючего материала в атмосферу, прежде всего, необходимо определить степень утечки согласно приведенным определениям на основании частоты и длительности утечки. Вскрытие отдельных частей технологического оборудования, заключенных в корпус (например, во время замены фильтра или периодического заполнения), следует также рассматривать как утечку. По предложенной методике каждую утечку горючего вещества классифицируют как постоянную (непрерывную), первой или второй степени.
Установив степень утечки, необходимо определить ее интенсивность и другие факторы, влияющие на класс и размеры зоны.
Если общее количество горючего вещества, утечка которого возможна, незначительно, например, при лабораторном применении, несмотря на возможность существования потенциальной опасности, данную методику классификации зон не применяют. Способ классификации взрывоопасных зон для таких условий должен базироваться на оценке конкретной ситуации.
При классификации зон для технологического оборудования, в котором горючее вещество сжигается, например, топок для обогрева, печей, бойлеров, газовых турбин и т.д., необходимо учитывать цикл продувки, условия пуска и остановки.
Туман (аэрозоль), который может образоваться при утечке жидкости, может быть горючим, даже если температура жидкости ниже точки вспышки. Поэтому необходимо предотвращать образование облаков тумана. Для этого устанавливают кожухи вокруг потенциальных источников утечки, чтобы в случае утечки туман не выходил за пределы этих кожухов, конденсировался и превращался в капли. Такие кожухи часто устанавливают вокруг фланцев (см. приложение D).
Примечание - Хотя аэрозоли являются источником опасности, критерии оценки, применяемые в настоящем стандарте для газов и паров, не могут применяться для аэрозолей.
5.3 Классы зон
Вероятность присутствия взрывоопасной газовой смеси в зоне, а следовательно, и ее класс зависят в основном от степени утечки и уровня вентиляции.
Примечания
1 Постоянная (непрерывная) утечка образует, как правило, зону класса 0, утечка первой степени - зону класса 1 и второй степени - зону класса 2 (см. приложение В).
2 Если зоны, создаваемые смежными источниками утечки, совмещаются и при этом относятся к разным классам, область совмещения относят к классу с большим уровнем взрывоопасности. Если совмещающиеся зоны относятся к одному классу, область совмещения относят к этому классу.
Однако необходимо соблюдать осторожность, когда совмещающиеся зоны образованы горючими веществами, относящимися к разным группам или категориям. Так, например, если зона 1 IIA Т3 перекрыла зону 2 IIC Т1, то класс 1 IIС Т3 для зоны совмещения может быть сверхограничительным, но классифицировать зону только как 1 IIA Т3 или 2 IIC Т1 неприемлемо. В этой ситуации класс зоны совмещения должен быть определен как зона 1 IIA Т3 и зона 2 IIC Т1.
5.4 Размеры взрывоопасной зоны
Размеры взрывоопасной зоны зависят от предполагаемого или рассчитанного расстояния, на котором существует взрывоопасная газовая смесь до того, как она будет разбавлена до концентрации ниже нижнего предела воспламеняемости. Область распространения газа или пара до его разбавления до концентрации ниже нижнего предела воспламеняемости должна оцениваться при участии эксперта.
Всегда необходимо учитывать возможность того, что газ, который тяжелее воздуха, может присутствовать на участках ниже уровня земли (например, в колодцах и котлованах), и что газ, который легче воздуха, может присутствовать в помещениях на высоте (например, на чердаках).
Если источник утечки находится за пределами зоны или в смежной зоне, проникновение значительного количества горючего газа или пара в зону можно предупредить соответствующими средствами, например:
a) механическими препятствиями;
b) поддержанием достаточного повышенного давления в данной зоне по сравнению со смежными взрывоопасными зонами для предотвращения проникновения взрывоопасной газовой смеси;
c) продувкой зоны достаточным потоком свежего воздуха, чтобы воздух выходил из всех отверстий, в которые может войти горючий газ или пар.
Размеры взрывоопасной зоны, в основном, зависят от приведенных ниже химических и физических характеристик, одна часть которых относится к горючим материалам, а другая - к технологическим процессам и оборудованию. При оценке влияния каждого из приведенных ниже факторов на размеры взрывоопасной зоны исходят из того, что характеристики остальных остаются неизменными.
5.4.1 Интенсивность утечки газа или пара
От интенсивности утечки зависят размеры взрывоопасной зоны. Интенсивность утечки определяется следующими факторами:
a) геометрией источника утечки.
Под геометрией понимают физические характеристики источника утечки, например открытую поверхность жидкости, неплотное фланцевое соединение и др. (приложение А);
b) скоростью истечения горючего вещества.
Для конкретного источника утечки интенсивность утечки возрастает с увеличением скорости истечения горючего вещества. Если горючее вещество находится внутри технологического оборудования, то скорость истечения зависит от давления рабочего процесса и геометрии источника утечки. Размер образующегося при истечении облака горючего газа или пара определяется скоростью истечения и скоростью рассеивания. Газ и пар, поступающие из источника утечки с высокой скоростью, образуют конусообразную струю, которая, увлекая за собой воздух, обладает способностью "саморазбавления". При этом распространение образующейся газовой смеси практически не зависит от воздушного потока. Если же утечка происходит с низкой скоростью, или скорость утечки уменьшается из-за какого-либо препятствия, то струя рассеивается и ее "разбавление" и распространение газовой смеси будут зависеть от воздушного потока;
c) концентрацией горючего вещества.
Интенсивность утечки возрастает с увеличением концентрации горючего пара или газа в высвобождаемом горючем веществе;
d) испаряемостью горючей жидкости.
Испаряемость зависит, в основном, от значений давления насыщенного пара и теплоты парообразования горючей жидкости. Если значение давления насыщенного пара неизвестно, то следует руководствоваться значениями температуры кипения и вспышки.
Взрывоопасная смесь не может существовать, если температура вспышки превышает максимальную температуру горючей жидкости. Чем ниже температура вспышки, тем больше размеры взрывоопасной зоны. Если горючее вещество поступает в воздух таким образом, что образуется туман (например, путем распыления), то образование взрывоопасной смеси возможно при температуре, которая ниже температуры вспышки.
Примечания
1 Температура вспышки горючих жидкостей, особенно если это смеси, не является точной физической величиной.
2 Некоторые жидкости (например, некоторые галогензамещенные углеводороды) не характеризуются таким параметром, как температура вспышки, хотя они и могут образовывать взрывоопасную газовую смесь. В этих случаях следует сравнивать установившееся значение температуры жидкости, соответствующее концентрации насыщенного пара при нижнем концентрационном пределе воспламенения, с максимальной температурой жидкости;
е) температурой жидкости.
Давление насыщенного пара возрастает с ростом температуры, что приводит к увеличению интенсивности утечки.
Примечание - Температура жидкости после утечки может возрасти, например, за счет нагретой поверхности оборудования, в контакте с которым она находится, или высокой окружающей температуры.
5.4.2 Нижний концентрационный предел распространения пламени (воспламенения) (НКПР)
Для данного объема утечки горючего вещества, чем ниже НКПР, тем больше размеры взрывоопасной зоны.
Примечание - Опыт показывает, что утечка аммиака с НКПР 15% от объема быстро рассеивается на открытом воздухе, поэтому размеры взрывоопасной зоны в этом случае могут считаться незначительными.
5.4.3 Вентиляция
При увеличении уровня вентиляции размеры взрывоопасной зоны уменьшаются. Объекты, препятствующие вентиляции, могут увеличить размеры зоны. С другой стороны, такие препятствия, как перемычки, стенки или потолки могут ограничивать размеры взрывоопасной зоны. Будка компрессора с большим вентиляционным отверстием в крыше и с достаточно открытыми боковинами для свободного прохождения воздуха через все части сооружения считается хорошо вентилируемой и должна рассматриваться как открытая зона (то есть, со средним уровнем и хорошей готовностью вентиляции).
5.4.4 Относительная плотность газа или пара при утечке
Если газ или пар легче воздуха, то он будет подниматься вверх. Если же он тяжелее воздуха, то он будет скапливаться на уровне земли. Протяженность зоны в горизонтальном направлении на уровне земли будет возрастать с увеличением значения относительной плотности газа или пара, а протяженность в вертикальном направлении над источником будет возрастать с уменьшением значения относительной плотности.
Примечания
1 Газы или пары со значением относительной плотности менее 0,8 должны рассматриваться как более легкие, чем воздух, если же относительная плотность более 1,2, то предполагается, что они тяжелее воздуха. Если относительная плотность газа или пара находится в промежутке между этими значениями, то следует учитывать обе возможности.
2 Медленная утечка газов или паров легче воздуха, которые поднимаются вверх, быстро рассеиваются; присутствие кровли, однако, обязательно расширит зону распространения газа под ней. Если утечка происходит с большой скоростью свободной струей, действие струи, несмотря на то, что она захватывает воздух, разбавляющий газ или пар, может увеличить размеры зоны, в которой концентрация газа/газовой смеси остается на уровне выше их нижнего предела воспламеняемости.
3 Медленная утечка газов или паров тяжелее воздуха будет происходить в нисходящем направлении, и газы могут распространяться на большие расстояния по земле, прежде чем произойдет их безопасное рассеивание за счет атмосферной диффузии. Поэтому особое внимание следует уделять топографии любой рассматриваемой площадки, а также окружающих зон, чтобы определить, будут ли газы или пары собираться во впадинах или стекать по наклонным плоскостям на более низкие уровни. Если утечка происходит с большой скоростью свободной струей, струя, захватывая воздух, может снизить концентрацию газовоздушной смеси до уровня ниже ее нижнего предела воспламеняемости на значительно более коротком расстоянии, чем в случае медленной утечки.
4. Необходимо соблюдать осторожность при классификации зон, содержащих криогенные горючие газы (например сжиженный природный газ). Выделяющиеся пары могут быть тяжелее воздуха при низких температурах и становятся легче воздуха при температуре, приближающейся к температуре окружающей среды.
5.4.5 Дополнительные факторы, которые необходимо учитывать:
a) климатические условия.
Скорость рассеивания газа или пара в атмосфере увеличивается с увеличением скорости ветра, но для начала турбулентной диффузии необходима минимальная скорость 2-3 м/с; ниже этого значения происходит перемещение газа или пара слоем, и расстояние рассеяния до безопасного уровня значительно увеличивается. В зонах технологической установки, закрытых большими резервуарами или конструкциями, скорость движения воздушного потока может быть значительно ниже скорости ветра; однако, препятствия, создаваемые продвижению воздуха оборудованием, поддерживают турбулентность даже при низкой скорости ветра.
Примечания
1 В приложении В (см. В.4) скорость ветра 0,5 м/с рассматривается как достаточная для определения нормы разбавления утечки горючего газа вне помещения. Допускается использовать это более низкое значение скорости для данной цели, чтобы сохранить консервативный подход, хотя общепризнано, что из-за перемещения слоем результаты расчетов могут оказаться некорректными.
2 На практике тенденция к перемещению слоем не учитывается при классификации зон, т.к. условия для возникновения этой тенденции создаются редко и существуют кратковременно. Однако, если возможны длительные периоды времени с низкой скоростью ветра в конкретных условиях, тогда при определении размеров зоны необходимо учитывать, что для обеспечения рассеяния требуется дополнительное расстояние.
b) топография.
Плотность некоторых жидкостей более низкая, чем плотность воды, и они плохо смешиваются с водой: такие жидкости могут растекаться по поверхности воды (на земле, в дренажной системе предприятия или в канаве) и затем может произойти их воспламенение в месте, удаленном от места утечки. Таким образом, опасность возникает на больших участках технологических установок.
Планировка предприятия должна по возможности способствовать быстрому рассеиванию взрывоопасной газовой атмосферы. Участки с ограниченной вентиляцией (например, колодцы или траншеи), которые в другом случае могли бы быть отнесены к зоне класса 2, должны рассматриваться, как относящиеся к зоне класса 1; с другой стороны, оценка широких неглубоких понижений, используемых для насосных систем или труб, не требует такого строгого подхода.
5.4.6 Примеры источников утечки
В приложении С приведены примеры, показывающие влияние вышеуказанных параметров на скорость выделения пара или газа, и, таким образом, на размеры зоны.
a) Источник утечки: открытая поверхность жидкости.
В большинстве случаев температура жидкости будет ниже значения температуры кипения, и количество выделяющегося пара будет, в основном, зависеть от следующих факторов:
- температуры жидкости;
- значения давления паров жидкости при температуре вблизи ее поверхности,
- размеров поверхности испарения;
- вентиляции.
b) Источник утечки: фактически мгновенное испарение жидкости (например, из струи или при распылении).
Поскольку выпускаемая жидкость испаряется практически мгновенно, интенсивность выделения пара равна расходу жидкости, который зависит от следующих факторов:
- давления жидкости;
- геометрии источника утечки.
Если жидкость не испаряется мгновенно, то необходимо рассматривать более сложную ситуацию, поскольку капли, струи жидкости и скопления жидкости могут создать отдельные источники утечки;
c) Источник утечки: утечка газовой смеси.
На интенсивность утечки влияют следующие факторы:
- значение давления внутри оборудования, содержащего газ,
- геометрия источника утечки,
- концентрация горючего газа в высвобождаемой смеси.
Примеры источников утечки также приведены в А.2 (приложение А).
6 Вентиляция
6.1 Общие положения
Газ или пар, выделяющийся в атмосферу, может быть разбавлен за счет дисперсии или диффузии в воздухе до такой степени, что его концентрация может стать ниже нижнего концентрационного предела воспламенения. Вентиляция, то есть перемещение воздуха вокруг источника утечки, способствует дисперсии горючего газа. Наличие вентиляции и ее уровень оказывают влияние на возможность образования взрывоопасной газовой смеси и тем самым влияют на класс зоны.
6.2 Основные типы вентиляции
Вентиляция может осуществляться путем перемещения воздуха за счет ветра и/или перепада температуры или за счет искусственных средств, таких как вентиляторы. Различают два основных вида вентиляции:
a) естественную;
b) искусственную (общую или местную).
6.3 Уровень вентиляции
Для установления класса взрывоопасной зоны важным обстоятельством является прямая связь между уровнем вентиляции, степенью утечки и ее интенсивностью, независимо от вида применяемой вентиляции - искусственной или естественной. Это позволяет обеспечить оптимальные условия вентиляции в пространстве, в котором возможно образование взрывоопасной смеси, поскольку, чем выше уровень вентиляции, тем меньше размеры взрывоопасной зоны. В ряде случаев вентиляция позволяет обеспечить пренебрежимо малые размеры взрывоопасной зоны (взрывобезопасная зона).
Примеры и практические рекомендации по выбору уровня вентиляции приведены в приложении В.
6.4 Готовность вентиляции
Готовность вентиляции оказывает влияние на присутствие и возможность образования взрывоопасной смеси и, следовательно, на класс зоны (приложение В).
Примечание - Сочетание таких характеристик, как уровень вентиляции и ее готовность, позволяет разработать количественный метод оценки класса зоны (приложение В).
7 Документация
7.1 Общие положения
Классификацию зон следует проводить таким образом, чтобы различные этапы ее проведения были должным образом отражены в документах и имелись ссылки на всю используемую информацию. Примерами используемых методов и информации могут быть:
a) рекомендации, содержащиеся в соответствующих правилах (нормах) и стандартах;
b) характеристики дисперсии газа и пара и соответствующие расчеты;
c) результаты сравнительного анализа характеристик вентиляторов и параметров утечки горючих веществ для оценки эффективности вентиляции.
Должен быть составлен перечень характеристик всех горючих веществ, используемых в технологическом процессе, который должен обязательно включать в себя значения молекулярной массы, температуры вспышки, температуры кипения, температуры самовоспламенения, давления и плотности пара, концентрационных пределов воспламенения, группу взрывоопасных смесей и температурный класс (IEC 60079-20). Пример такого перечня приведен в форме таблицы С1.
Результаты работы по классификации зон и все последующие изменения должны быть занесены в протокол. Пример такой записи приведен в форме таблицы С2.
7.2 Чертежи, перечни технических характеристик и таблицы
Документы по классификации зоны должны содержать чертежи (различные проекции), на которых должны быть показаны форма и размеры зоны и указаны температура самовоспламенения, и следовательно, температурный класс и группа газа.
Если топография поверхности оказывает влияние на размеры зоны, это обстоятельство также должно быть отражено в документации.
Дополнительно документы должны содержать следующую информацию:
a) размещение и описание источников утечки. Для крупных и сложных установок или технологических участков рекомендуется пронумеровать источники утечки, что облегчит работу с перечнями технологических данных по классификации и с чертежами;
b) расположение проемов в строениях (например, двери, окна, входные и выходные отверстия системы вентиляции).
При классификации зон предпочтение следует отдавать обозначениям, указанным на рисунке С.1. Объяснение условных обозначений должно быть дано на каждом чертеже. Может потребоваться использование дополнительных символов, если оборудование, относящееся к различным группам и/или температурным классам используется в зоне одного класса (например, в зоне 2 IIC T1 и зоне 2 IIA T3).
Приложение А
(справочное)
Примеры источников утечки
А.1 Технологическая установка
Примеры, приводимые ниже, не обязательно предназначены для прямого использования. Источники утечки могут изменяться в зависимости от особенностей технологического оборудования и условий работы. Некоторые виды оборудования могут иметь несколько степеней утечки.
А.1.1 Источники непрерывной утечки:
a) поверхность горючей жидкости в закрытом резервуаре с постоянно открытым в атмосферу вентиляционным каналом;
b) поверхность горючей жидкости в резервуаре, который открыт непрерывно или в течение длительных периодов времени.
А.1.2 Источники утечки первой степени:
a) уплотнения насосов, компрессоров или клапанов с утечкой горючего вещества в нормальном режиме работы;
b) устройства отделения воды в резервуарах с горючей жидкостью, из которых возможна утечка горючего вещества в атмосферу в процессе выпуска воды в нормальном режиме работы;
c) устройства отбора проб, через которые возможна утечка горючего вещества в нормальном режиме работы;
d) клапаны сброса и различные отверстия, через которые возможна утечка горючего вещества в нормальном режиме работы.
А.1.3 Источники утечки второй степени:
a) уплотнения насосов, компрессоров и клапанов, через которые утечка горючего вещества в нормальном режиме работы невозможна;
b) фланцы, соединения и трубные фитинги, через которые утечка горючего вещества в нормальном режиме работы невозможна;
c) устройства отбора проб, через которые утечка горючего вещества в нормальном режиме работы невозможна;
d) клапаны сброса и другие отверстия, через которые утечка горючего вещества в нормальном режиме работы невозможна.
А.2 Проемы
Примеры, приводимые ниже, не предназначены для обязательного применения, так как источники утечки могут изменяться в зависимости от конкретной ситуации.
А.2.1 Проемы как возможные источники утечки
Проемы между зонами следует рассматривать как возможные источники утечки.
Степень утечки зависит от:
- класса прилегающей зоны;
- частоты и длительности нахождения проемов в открытом состоянии;
- эффективности средств, используемых для уплотнений;
- разности значений давлений между зонами.
А.2.2 Классификация проемов
Проемы подразделяют на типы А, В, С, D в соответствии со следующими признаками.
Проемы типа А, отличающиеся по характеристикам от проемов типов В, С или D.
Примеры:
- открытые отверстия для доступа или подвода сетей, например вентиляционные короба или трубы, проходящие через стены, потолки и полы;
- часто открываемые проемы;
- стационарные вентиляционные отверстия в помещениях, строениях и проемы, аналогичные проемам типов В, С и D, которые открываются часто или остаются открытыми длительное время.
Проемы типа В - нормально закрытые (например, автоматически закрывающиеся) и редко открываемые, хорошо уплотненные в закрытом состоянии.
Проемы типа С - нормально закрытые и редко открываемые, соответствующие проему типа В, хорошо уплотненные посредством соответствующих приспособлений (например, прокладок) по всему периметру; или сочетание последовательно расположенных двух проемов типа В с независимыми приспособлениями для автоматического закрытия.
Проемы типа D - нормально закрытые, соответствующие проему типа С, открываемые только с помощью специальных инструментов и в аварийных ситуациях.
Проемы типа D - это хорошо уплотненные проемы, например, сетевые проходы (вентиляционные короба, трубы) или сочетание последовательно расположенных одного проема типа С, прилегающего к опасной зоне, и одного проема типа В.
Таблица А.1 - Типы проемов и соответствующие им утечки
|
Класс зоны, из которой возможна утечка горючего газа или пара через проем |
Тип проема |
Степень утечки из проемов, рассматриваемых в качестве источников утечки |
|
0 |
А |
Постоянная |
|
В |
(Постоянная)/Первая |
|
|
С |
Вторая |
|
|
D |
Утечка отсутствует |
|
|
1 |
А |
Первая |
|
В |
(Первая)/Вторая |
|
|
С |
(Вторая)/Утечка отсутствует |
|
|
D |
Утечка отсутствует |
|
|
2 |
А |
Вторая |
|
В |
(Вторая)/Утечка отсутствует |
|
|
С |
Утечка отсутствует |
|
|
D |
Утечка отсутствует |
|
|
Примечание - Указанные в скобках степени утечки должны устанавливаться с учетом частоты открытия проемов. |
||
А.3 Интенсивность утечки
Следующие примеры показывают примерные значения интенсивности утечки горючих жидкостей и газов. Более точная оценка интенсивности утечки возможна с учетом характеристик проемов, т.е. при умножении значения интенсивности утечки на коэффициент расхода (![]()
1).
Вязкость жидкостей газов не учитывалась. Вязкость может значительно снизить интенсивность утечки, если проем, через который происходит выделение горючего вещества, узкий.
А.3.1 Интенсивность утечки жидкости
Интенсивность утечки жидкости оценивают по следующей формуле:
,
где
- интенсивность утечки жидкости (масса в единицу времени), кг/с;
- площадь поперечного сечения проема, через который происходит утечка жидкости, м
;
- плотность жидкости (масса на единицу объема), кг/м
;
- разность давлений в проеме, через который происходит утечка, Па;
А.3.2 Интенсивность утечки газа
Интенсивность утечки газа из резервуара можно оценить по адиабатическому расширению идеального газа, если плотность газа под давлением значительно меньше плотности сжиженного газа.
Скорость высвобождаемого газа регулируется заслонкой, если давление внутри резервуара с газом более ![]()
(критическое давление).
,
где
- давление снаружи резервуара с газом;
- показатель политропы адиабатического расширения;
Для идеального газа допускается использовать уравнение
,
где:
- удельная теплоемкость при постоянном давлении, Дж кг
К
;
- молекулярная масса газа, кг/кмоль;
- универсальная газовая постоянная, 8,3·10
Дж кмоль
К
.
А.3.2.1 Интенсивность утечки газа при предельной скорости его истечения (равной скорости звука)
Предельная скорость выделения газа равна скорости звука для данного газа. Это максимальная теоретическая скорость истечения. Интенсивность утечки газа из контейнера при предельной скорости выделения можно определить с помощью следующей формулы:
,
- интенсивность утечки газа (масса в единицу времени), кг/с;
- давление внутри резервуара, Па;
- показатель политропы адиабатического расширения;
- площадь поперечного сечения проема, через который происходит утечка газа, м
;
- молекулярная масса газа, кг/кмоль;
- абсолютная температура внутри резервуара, К;
- универсальная газовая постоянная, 8,3·10
Дж кмоль
К
.
Скорость газа в разгрузочном отверстии равна скорости звука, которую рассчитывают по следующей формуле:
.
А.3.2.2 Интенсивность утечки газа при скорости истечения ниже предельной
Допредельная скорость выделения газа - это скорость его истечения ниже скорости звука для данного газа. Скорость выделения газа из контейнера без ее погашения можно определить с помощью следующей формулы:
,
- интенсивность утечки газа, кг/с;
- давление внутри резервуара, Па;
- давление снаружи резервуара с газом, Па;
- площадь поперечного сечения проема, через который происходит утечка газа, м
;
- молекулярная масса газа, кг/кмоль;
- абсолютная температура внутри резервуара, К;
- универсальная газовая постоянная, 8,3·10
Дж кмоль
К
.
Скорость газа в разгрузочном отверстии рассчитывают по следующей формуле:
,
где
- скорость газа в разгрузочном отверстии, м/с;
- плотность расширенного газа, кг/м
,
где
- плотность газа внутри резервуара, кг/м
, которую можно рассчитать по формуле:
.
А.4 Примеры оценки интенсивности утечки газа
Пример N 1
Резервуар высотой 3 м, наполненный ацетоном. Дыхательный клапан резервуара установлен на значение избыточного давления 0,05 бар. Предполагается, что при неисправности фланец в нижней части резервуара будет пропускать ацетон через отверстие площадью поперечного сечения 1 мм
.
790 кг/м
- плотность жидкого ацетона;
10
м
- площадь поперечного сечения отверстия;
3 м - разность высоты поверхности жидкого ацетона и отверстия;
9,81 м/с
- ускорение свободного падения;
5·10
Па - установленное избыточное давление дыхательного клапана (предполагаемое максимальное избыточное давление в верхней части резервуара).
Максимальная разность давлений в отверстии, через которое происходит утечка:
Па
Интенсивность утечки
кг/с
Пример N 2
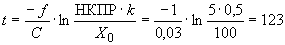
Интенсивность утечки газа при погашении скорости его выделения по формуле А.3.2 и А.3.2.1
Трубопровод с газообразным водородом при температуре плюс 20 °С и абсолютным давлением 11 бар. Предполагается, что при неисправности будет происходить утечка газообразного водорода через отверстие площадью поперечного сечения 2,5 мм
во фланце.
11·10
Па - давление в трубопроводе;
293 К - абсолютная температура;
2 кг/кмоль - молекулярная масса водорода;
2,5·10
м
- площадь поперечного сечения отверстия;
- показатель политропы адиабатического расширения для водорода;
Па
Скорость выделяющегося газа допредельная, т.к.
.

Пример N 3
Интенсивность утечки газа без погашения скорости его выделения по формуле А.3.2 и А.3.2.2
Газгольдер для метана при температуре минус 20 °С. Предохранительный клапан газгольдера установлен на избыточное давление 0,005 бар. При неисправности возможна утечка из газгольдера через отверстие площадью поперечного сечения 10 см
.
1,005·10
Па - давление в газгольдере;
10
Па - атмосферное давление;
293 К - абсолютная температура;
16 кг/кмоль - молекулярная масса метана;
10
м
- площадь поперечного сечения отверстия;
1,32 - показатель политропы адиабатического расширения метана

Скорость выделения газа допредельная, т.к.
.
0,995

Начальная скорость выделения газа:
![]()
кг/м![]()

кг/м![]()
![]()
кг/м![]()
Приложение B
(справочное)
Вентиляция
Введение
Целью данного приложения является оценка уровня вентиляции и дополнение раздела 5 определением условий вентиляции, а также рекомендациями, примерами и расчетами, являющимися руководством к проектированию систем искусственной вентиляции, поскольку они имеют первостепенную важность для обеспечения рассеивания утечки горючих газов и паров.
Предлагаемые методы позволяют установить класс зоны посредством:
- определения минимальной мощности системы вентиляции, которая необходима для предотвращения значительного скопления взрывоопасной смеси;
- расчета гипотетического объема
, с помощью которого определяется уровень вентиляции;
- оценки времени рассеивания;
- определения класса зоны по показателям уровня вентиляции, готовности вентиляции и степени утечки по таблице В.1;
- проверки соответствия класса зоны и времени рассеивания.
Эти расчеты не предназначены для прямого определения размера опасных зон.
Изложенные принципы, в основном, распространяются на вентиляцию внутри помещений, но они, в равной степени, могут быть использованы для наружных условий (таблица В.1).
В.1 Естественная вентиляция
Этот тип вентиляции осуществляется движением воздуха под воздействием ветра и/или перепада температуры. На открытом воздухе естественная вентиляция часто бывает достаточной для рассеивания взрывоопасной смеси. Естественная вентиляция может быть также эффективной внутри помещений (например, в строениях с проемами в стенах и/или крыше).
Примечание - Для наружных условий оценка вентиляции, как правило, базируется на предполагаемой минимальной скорости ветра 0,5 м/с, который присутствует практически постоянно. Скорость ветра часто превышает 2 м/с, однако в некоторых случаях она может быть ниже 0,5 м/с (например, в непосредственной близости от поверхности земли).
Примеры объектов с естественной вентиляцией:
- оборудование, установленное вне помещений, применяемое в химической и нефтяной отраслях промышленности, например насосные установки и опоры с трубами на открытых площадках и др.;
- открытые строения, которые, принимая во внимание относительную плотность присутствующих газов и/или паров, имеют проемы в стенах и/или крыше, которые размещены и подобраны по размеру таким образом, что вентиляция внутри строения может быть приравнена к вентиляции на открытом воздухе;
- строения, не являющиеся открытыми, но с естественной вентиляцией (обычно меньшей, чем в открытом строении) за счет специальных вентиляционных отверстий.
B.2 Искусственная вентиляция
В.2.1 Общие принципы
При искусственной вентиляции воздушный поток создается специальными устройствами, например приточными или вытяжными вентиляторами. Искусственная вентиляция, в основном, используется в закрытых помещениях, но ее можно также применять на открытом воздухе для компенсации ограничений в естественной вентиляции из-за каких-либо препятствий.
Искусственная вентиляция зоны может быть общей или местной; такая вентиляция различается степенью перемещения и замещения воздуха.
Искусственная вентиляция обеспечивает:
- уменьшение класса и/или размеров взрывоопасной зоны;
- снижение времени присутствия взрывоопасной смеси;
- предотвращение образования взрывоопасной смеси.
В.2.2 Задачи проектирования
Искусственная вентиляция дает возможность создавать эффективные и надежные системы вентиляции внутри помещений. При устройстве систем искусственной вентиляции для обеспечения взрывозащиты следует выполнять следующие требования:
- должен быть обеспечен контроль эффективности вентиляции;
- должен быть установлен класс зоны, в которую проводится выброс потоков из вентиляторов;
- вентиляционный воздух для вентиляции взрывоопасной зоны должен поступать из взрывобезопасной зоны;
- параметры системы вентиляции должны выбираться с учетом расположения источников утечки, их степени и интенсивности.
Дополнительно следует учитывать следующие обстоятельства:
- плотность горючих газов и паров обычно отличается от плотности воздуха, поэтому они аккумулируются у потолка или пола закрытого помещения, где перемещение воздуха затруднено;
- плотность газа изменяется в зависимости от температуры;
- препятствия могут уменьшать или совсем останавливать движение потока воздуха, то есть вентиляция в некоторых участках зоны может отсутствовать.
В.2.3 Примеры искусственной вентиляции
В.2.3.1 Общая искусственная вентиляция:
- строение, оборудованное вентиляторами, установленными в проемах стен и/или крыш для улучшения вентиляции помещения;
- площадка на открытом воздухе с расположенным на ней оборудованием и вентиляторами, установленными таким образом, что улучшается общая вентиляция зоны.
В.2.3.2 Примеры местной искусственной вентиляции:
- система отсоса воздуха и пара, применяемая на месте расположения технологического оборудования, из которого постоянно или периодически происходит утечка горючего вещества;
- приточная или вытяжная система вентиляции небольшой локальной зоны, где возможно возникновение взрывоопасной смеси.
B.3 Уровень вентиляции
Эффективность действия вентиляции для регулирования рассеивания взрывоопасной смеси зависит от ее уровня и готовности, а также от конструкции системы. Например, вентиляция может быть недостаточной для предотвращения образования взрывоопасной смеси, но достаточной для ее быстрого рассеивания.
Примечание - Если учитывают другие системы вентиляции, например, охлаждающие вентиляторы, вентиляторы топок, необходимо убедиться в их наличии.
Выделяют три уровня вентиляции.
B.3.1 Вентиляция высокого уровня (ВВ)
Обеспечивает мгновенное снижение концентрации газа или пара у источника утечки до значения ниже, чем нижний концентрационный предел воспламенения. При такой вентиляции размеры взрывоопасной зоны пренебрежимо малы. Однако, если коэффициент готовности вентиляции недостаточный, зона другого класса может образовываться вокруг этой зоны пренебрежимо малого размера (таблица В.1).
B.3.2 Вентиляция среднего уровня (ВС)
Позволяет быстро изменять концентрацию горючего газа в воздухе. При этом концентрация горючего газа за границами зоны во время существования утечки становится ниже нижнего концентрационного предела воспламенения, а в границах зоны после прекращения утечки взрывоопасная смесь быстро рассеивается.
Размеры и класс зоны остаются в установленных пределах.
B.3.3 Вентиляция низкого уровня (ВН)
Не позволяет изменять концентрацию во время утечки и/или быстро устранить взрывоопасную смесь после прекращения утечки.
B.4 Оценка уровня вентиляции и его влияния на класс зоны
Вентиляция оказывает влияние на размеры взрывоопасной зоны, в которой существует взрывоопасная смесь и на время ее существования. Ниже приведен метод оценки уровня вентиляции, необходимого для воздействия на размеры взрывоопасной зоны и времени существования взрывоопасной смеси.
Необходимо отметить, что приводимый метод не является точным. Несмотря на это, использование коэффициентов безопасности гарантирует, что при ошибках в расчетах условия безопасности не нарушаются. Применение метода проиллюстрировано на ряде гипотетических примеров (параграф В.7).
Прежде всего, для оценки уровня вентиляции требуется определить максимальную интенсивность утечки горючего газа или пара для источника утечки горючего вещества. Это должно проводится на основании экспериментальных данных, расчетов, оправданных предположений или данных, предоставленных изготовителем.
Примечание - Метод, примененный для определения максимальной интенсивности утечки, должен быть указан в документах.
В.4.1 Расчет гипотетического объема ![]()
Расчеты, приведенные в настоящем разделе, представляют собой упрощенный метод оценки. Их не следует рассматривать как единственный метод оценки. В зависимости от ситуации допускается применять другие методы оценки, например, компьютерное моделирование.
В.4.1.1 Общие положения
Величина
представляет собой объем, за пределами которого средняя концентрация взрывоопасной смеси газа или пара составляет менее 0,25 или 0,5 от НКПР в зависимости от значения коэффициента безопасности
. Это означает, что для самых худших случаев оценки гипотетического объема концентрация газа или пара будет значительно ниже НКПР, то есть в реальности объем взрывоопасной смеси, в котором концентрация выше НКПР, будет значительно меньше
.
В.4.1.2 Связь между гипотетическим объемом
и размерами взрывоопасной зоны
Гипотетический объем
показывает примерный объем пространства вокруг источника утечки, в котором существует взрывоопасная смесь. Этот объем не следует прямо отождествлять с размерами взрывоопасной зоны. Во-первых, этот объем не указывает на форму взрывоопасной зоны, которая зависит от условий вентиляции (В.4.3, В.5). Уровень и готовность вентиляции и возможные изменения этих параметров будут влиять на форму, которую принимает гипотетический объем. Во-вторых, необходимо установить положение взрывоопасной зоны в пространстве по отношению к источнику утечки. Это, прежде всего, зависит от направления проветривания с учетом смещения взрывоопасной зоны по ветру. В-третьих, во многих ситуациях (например, на открытом воздухе) необходимо учитывать возможность изменения направлений вентиляции и относительную плотность газа или пара.
Таким образом, взрывоопасная зона, образуемая данным источником утечки, может распространяться на расстояние в несколько раз большее, чем это может быть получено из расчета по значению гипотетического объема
.
Для определения значения гипотетического объема [см. формулы (В.4) и (В.5)], необходимо определить теоретически необходимый минимальный расход вентиляционного воздуха для разбавления определенного объема горючего газа до требуемой концентрации ниже нижнего концентрационного предела воспламеняемости. Это значение рассчитывают по формуле
, (В.1)
где
- минимальный объемный расход свежего воздуха, м
/с;
- максимальная интенсивность утечки горючего вещества в источнике, кг/с;
- температура окружающей среды, К;
- концентрация, соответствующая нижнему концентрационному пределу воспламенения (весовая концентрация), кг/м
;
- коэффициент безопасности по отношению к НКПР; как правило
0,25 (непрерывная утечка и первая степень утечки),
0,5 (вторая степень утечки).
Примечание
Для преобразования объемной концентрации, соответствующей НКПР (% об.) в весовую концентрацию, соответствующую НКПР (кг/м
), используют следующее выражение, действительное для нормальных атмосферных условий (см.1.1):
(% об.), где
- молярная масса, кг/кмоль.
Отношение между расчетным значением
и фактической кратностью воздухообмена в рассматриваемом объеме
вблизи источника утечки может быть выражено как объем
.
Примечания
1 Коэффициент безопасности
1,0 обычно применяют к значениям, полученным опытным путем, по данным, предоставленным изготовителем для конкретных устройств, через которые горючие вещества выходят в атмосферу, или к результатам расчетов, основанных на надежных входных данных. Для других значений, полученных методами, основанными на допущениях, следует применять более низкий коэффициент безопасности.
2 Если существует несколько источников утечки в объеме, в котором используется рассматриваемая вентиляция (![]()
), необходимо определить значение
для каждого источника утечки и уровень утечки. Определенные таким образом значения расхода затем необходимо суммировать в соответствии с В.2:
, (В.2)
где
- кратность воздухообмена, с
, которая рассчитывается по формуле (В.3)
, (В.3)
где
- расход свежего воздуха;
- общий вентилируемый объем (на технологической установке) вблизи рассматриваемого источника утечки.
Примечание - Для закрытых помещений
- это обычно объем данного помещения или здания, если не рассматривается специальная местная вентиляция по отношению к источнику утечки.
Формула (В.2) действительна для мгновенного перемешивания горючего газа и свежего воздуха до однородной смеси у источника утечки. На практике подобные идеальные условия, как правило, не встречаются в связи с наличием возможных препятствий воздушному потоку, что ухудшает вентиляцию отдельных областей зоны. Таким образом, эффективный воздухообмен у источника утечки будет ниже, чем величина
в выражении (В.3), что приводит к увеличению объема
. В связи с этим для расчета
по формуле (В.4) в формулу (В.2) вводят дополнительный коэффициент
и получают следующее:
, (В.4)
где
- коэффициент эффективности рассеивания взрывоопасной смеси;
находится в пределах от
1 (идеальная ситуация) до, как правило,
5 (когда имеется препятствие воздушному потоку).
В.4.1.3 Наружные условия
На открытом воздухе даже небольшая скорость ветра вызывает значительный воздухообмен. Например, на открытом воздухе в пространстве в виде куба с размерами каждой стороны 15 м при скорости ветра около 0,5 м/с, обеспечивается кратность воздухообмена более 100/ч (0,03/с) для объема
3400 м
.
Для открытого пространства при значении
0,03/с гипотетический объем
взрывоопасной смеси определяют по формуле (В.5):
, (В.5)
где
- коэффициент эффективности рассеивания взрывоопасной смеси (см. уравнение В.4);
- по формуле (В.1), м
/с;
0,03 - кратность воздухообмена в секунду.
Значение, полученное по формуле (В.5) является завышенным, поскольку на открытом воздухе рассеивание взрывоопасной смеси происходит быстрее. При выборе значения ![]()
необходимо учитывать это обстоятельство.
В.4.1.4 Ограниченное пространство на открытом воздухе
Когда вентилируемый объем небольшой (например, сепаратор для разделения нефти и воды), например, 5х3х1 м (
15 м
) и скорость ветра 0,05 м/с, тогда
35/ч (0,01 /с).
В.4.1.5. Определение времени рассеивания утечки ![]()
Время
, за которое после устранения утечки средняя концентрация снижается от начального значения![]()
до
, определяется по формуле (В.6):
, (В.6)
где
- начальная концентрация горючего вещества, измеренная в тех же единицах, что и НКПР, т.е., в % от объема или кг/м
.
В непосредственной близости от источника утечки концентрация горючего вещества во взрывоопасной смеси может составлять 100%. Однако при расчете
значение
выбирают в зависимости от конкретных условий, с учетом (наряду с другими факторами) объема, а также частоты и длительности утечки;
- кратность воздухообмена;
- время (единица измерения времени
должна быть одинаковой с единицей измерения времени для кратности воздухообмена
, то есть если
- это кратность воздухообмена в секунду, то
также должно выражаться в секундах);
- коэффициент эффективности рассеивания взрывоопасной смеси, имеющий такое же численное значение, как и при определении
(см. формулу В.4);
- натуральный логарифм;
- коэффициент безопасности по отношению к НКПР, имеющий такое же числовое значение, как и при определении
(см. формулу (В.1).
Значение
, определенное по формуле (В.6), используется для установления класса зоны только при сравнении с временными характеристиками и условиями конкретного процесса.
В.4.2 Оценка уровня вентиляции
В.4.2.1 Общие положения
Постоянная утечка обычно соответствует зоне класса 0, утечка первой степени - зоне класса 1, а утечка второй степени - зоне класса 2. Однако такое соответствие не является строгим из-за наличия вентиляции.
В некоторых случаях уровень и готовность вентиляции могут быть настолько высокими, что взрывоопасные зоны отсутствуют. И наоборот, уровень вентиляции может быть настолько низким, что зону необходимо отнести к более низкому классу (то есть взрывоопасная зона относится к классу 1 при источнике утечки второй степени). Это происходит, например, в случаях, когда уровень вентиляции настолько низкий, что взрывоопасная смесь продолжает существовать и рассеивается очень медленно после устранения источника утечки горючего газа или пара. Таким образом, присутствие взрывоопасной смеси продолжается дольше, чем предполагалось для данной степени утечки.
Расчетное значение гипотетического объема
используют для определения уровня вентиляции: высокий, средний или низкий.
В.4.2.2 Вентиляция высокого уровня (ВВ)
Уровень вентиляции может рассматриваться как высокий (ВВ) только тогда, когда оценка последствий взрыва показывает, что степень потенциального ущерба в результате внезапного повышения температуры и/или давления при воспламенении взрывоопасной смеси в объеме, равном
, ничтожно малы. При оценке последствий взрыва следует также учитывать вторичные эффекты (например, последующие утечки горючих веществ).
Указанные выше условия обычно выполняются, когда
меньше 0,1 м
. В этой ситуации объем опасной зоны может считаться равным
.
На практике высокий уровень вентиляции можно обеспечить только в следующих случаях: местными системами искусственной вентиляции вблизи источника; в небольших закрытых зонах; при очень небольшой утечке в зонах больших размеров. Во-первых, большинство закрытых зон содержат много источников утечки. В то же время не рекомендуется наличие большого числа небольших взрывоопасных зон в помещениях, классифицированных как взрывобезопасные. Во-вторых, при утечках, которые характерны для классификации зон, естественная вентиляция часто бывает недостаточной даже на открытом воздухе. В-третьих, нерационально интенсивно проветривать средствами искусственной вентиляции большие помещения.
Примечание - Если расчет
выполняется на основе искусственной вентиляции, необходимо учитывать, как устроена вентиляция, поскольку часто преобладающая часть вентиляционного воздушного потока направлена от источника утечки и разбавление происходит на удалении от потенциальных источников воспламенения, например, как в случае применения местных систем вытяжной вентиляции или когда вентиляционный поток поступает в относительно небольшую по размерам оболочку (корпус газоанализатора или опытной установки).
В.4.2.3 Вентиляция низкого уровня (ВН)
Уровень вентиляции следует рассматривать как низкий (ВН), если значение
превышает значение
. Уровень ВН на открытых пространствах практически не встречается, за исключением случаев наличия препятствий воздушному потоку, например в ямах.
В.4.2.4 Вентиляция среднего уровня (ВC)
Если уровень вентиляции не высокий (ВВ) и не низкий (ВН), то это средний уровень вентиляции (ВС). Обычно в этом случае
меньше или равен
. Уровень BС должен воздействовать на рассеивание утечки горючего газа или пара. Время рассеивания взрывоопасной смеси после устранения утечки должно быть достаточным для выполнения условия зоны класса 1 или 2 в зависимости от того, является ли степень утечки первой или второй. Допускаемое время рассеивания зависит от ожидаемой частоты утечки и длительности каждой утечки. Значение объема
часто бывает меньше объема закрытой зоны. В этом случае допускается классифицировать как взрывоопасную только часть закрытой зоны. В ряде случаев, в зависимости от размеров закрытой зоны, объем
может быть таким же, как объем закрытой зоны. Тогда всю закрытую зону классифицируют как взрывоопасную.
В наружных установках, за исключением случаев, когда значение
очень мало или когда присутствуют значительные препятствия для воздушного потока, уровень вентиляции должен рассматриваться как средний (ВС).
В.5 Готовность вентиляции
Готовность вентиляции оказывает влияние на образование и присутствие взрывоопасной смеси. Поэтому готовность вентиляции также должна учитываться при определении класса зоны.
По готовности вентиляцию разделяют на три уровня (см. примеры в приложении С):
- хороший - вентиляция присутствует постоянно;
- средний - вентиляция присутствует при нормальных условиях эксплуатации. Допускаются ее перерывы при условии, что они нечастые и кратковременные;
- плохой - вентиляция, не отвечающая требованиям первого и второго уровня готовности, при этом длительные ее перерывы не ожидаются.
Если готовность не отвечает требованиям даже третьего уровня, то такая вентиляция не может рассматриваться как вентиляция, влияющая на класс взрывоопасной зоны.
Готовность при естественной вентиляции
Для наружных условий оценка вентиляции основывается на предполагаемом значении минимальной скорости ветра 0,5 м/с, которая существует практически постоянно. В этом случае готовность вентиляции является хорошей.
Готовность при искусственной вентиляции
При оценке готовности искусственной вентиляции необходимо принимать во внимание надежность оборудования и готовность, например, аварийных вентиляторов. Хорошая готовность обеспечивается, если при авариях автоматически включаются запасные вентиляторы. Однако если предусмотрены средства предотвращения утечки горючего вещества при выходе из строя вентилятора (например, посредством автоматической остановки технологического процесса), то классификацию вентиляции, установленную для работающих вентиляторов, менять не требуется, то есть готовность можно считать хорошей.
В.6 Практические указания
Связь между параметрами вентиляции и классом взрывоопасной зоны для утечек различной степени показана в таблице В.1. Примеры расчетов параметров, необходимых для установления класса зоны, приведены в В.7.
Таблица В.1 - Уровень вентиляции и класс взрывоопасной зоны
|
Степень утечки |
Уровень вентиляции |
||||||
|
ВВ |
ВС |
ВН |
|||||
|
при готовности |
|||||||
|
хорошей |
средней |
плохой |
хорошей |
средней |
плохой |
хорошей, средней или плохой |
|
|
Постоянная (непрерывная) |
(Зона класса 0 ПМ) |
(Зона класса 0 ПМ) |
(Зона класса 0 ПМ) |
Зона класса 0 |
Зона класса 0 + |
Зона класса 0 + |
Зона класса 0 |
|
Взрывобе- зопасная |
Зона класса 2 |
Зона класса 1 |
Зона класса 2 |
Зона класса 1 |
|||
|
Первая степень |
(Зона класса 1 ПМ) |
(Зона класса 1 ПМ) |
(Зона класса 1 ПМ) |
Зона класса 1 |
Зона класса 1 + |
Зона класса 1 + |
Зона класса 1 или 0 |
|
Взрывобе- зопасная |
Зона класса 2 |
Зона класса 2 |
Зона класса 2 |
Зона класса 2 |
|||
|
Вторая степень |
(Зона класса 2 ПМ) |
(Зона класса 2 ПМ) |
Зона класса 2 |
Зона класса 2 |
Зона класса 2 |
Зона класса 2 |
Зона класса 1 (возможно зона класса 0 |
|
Взрывобе- зопасная |
Взрывобе- зопасная |
||||||
|
Примечания 1 Знак "+" означает, что зона низкого класса (например, класса 0) окружена зоной более высокого класса. 2 Следует избегать ситуаций, когда закрытые участки, в которых находятся источники утечки второй степени, относят к зоне класса 0. Это касается небольших непродуваемых и не находящихся под давлением закрытых участков, например, панелей управления или оболочек для защиты прибора от атмосферных воздействий, теплоизолированных нагреваемых оболочек или закрытых пространств между трубами и оберткой из теплоизоляции. |
|||||||
|
В таких оболочках должны быть предусмотрены отверстия в соответствующих местах, которые обеспечат движение воздуха внутри оболочек. В тех случаях, когда это невозможно, нерационально или нежелательно, следует принять меры для выведения основных потенциальных источников утечки за пределы оболочки, например, соединения труб должны находиться с внешней стороны изоляции оболочек, так же как и любое другое оборудование, которое можно рассматривать как потенциальный источник утечки. 3 Источники непрерывной утечки и утечки первой степени не должны находиться в зонах с низким уровнем вентиляции. Для этого следует переместить источник утечки, улучшить вентиляцию или снизить степень утечки. 4 Суммирование источников регулярной (то есть прогнозируемой) утечки должно основываться на детальной оценке технологических процессов. Например, источники утечки |
|||||||
Таблица В.2 - Методика суммирования множественных утечек в помещении объемом ![]()
|
Степень утечки |
Действия, которые необходимо выполнить в отношении |
|
Непрерывная |
Сложить все значения для и полученную сумму использовать в формулах (В.2)-(В.6) |
|
Первая |
В соответствии с таблицей В.3 сложить требуемое число самых высоких значений и полученную сумму использовать в формулах (В.2)-(В.6) |
|
Вторая |
Взять самое высокое единичное значение и использовать это значение в формулах (В.2)-(В.6) |
| Примечание - Итоговое значение для каждого действия из таблицы В.2 должно применяться к таблице В.1. Нет необходимости суммировать разные степени утечки. |
|
Таблица В.3 - Методика суммирования множественных утечек первой степени
|
Число утечек первой степени |
Число утечек первой степени, которое должно учитываться в соответствии с таблицей В.2 |
|
1 |
1 |
|
2 |
2 |
|
От 3 до 5 |
3 |
|
От 6 до 9 |
4 |
|
От 10 до 13 |
5 |
|
" 14 " 18 |
6 |
|
От 19 до 23 |
7 |
|
" 24 " 27 |
8 |
|
" 28 " 33 |
9 |
|
" 34 " 39 |
10 |
|
" 40 " 45 |
11 |
|
" 46 " 51 |
12 |
В.7 Расчеты уровня вентиляции
Примечание - В примерах
100%, поэтому результат может быть завышенным.
Расчет N 1
|
Характеристика утечки: |
|
|
Горючее вещество |
Пары толуола |
|
Молярная масса толуола |
92,14 (кг/кмоль) |
|
Источник утечки |
Фланец |
|
Нижний концентрационный предел воспламенения (НКПР) |
0,046 кг/м (1,2% об.) |
|
Степень утечки |
Постоянная (непрерывная) |
|
Коэффициент безопасности |
0,25 |
|
Интенсивность утечки |
2,8·10 кг/с |
|
Характеристика вентиляции |
|
|
Закрытое помещение: |
|
|
Кратность воздухообмена |
1/ч (2,8·10 /с) |
|
Коэффициент эффективности рассеивания взрывоопасной смеси |
5 |
|
Температура окружающей среды |
20 °С (293 К) |
| Температурный коэффициент ( |
1 |
|
Объем помещения |
10·15·6 м |
Минимальный объемный расход свежего воздуха
м
/с
Гипотетический объем
:
м![]()
Время существования взрывоопасной смеси в данном примере не рассчитывают, т.к. его не применяют для оценки постоянной утечки.
Заключение
Гипотетический объем
незначительный. Поскольку
0,1 (см. В.4.3.2), уровень вентиляции следует рассматривать как высокий по отношению к источнику утечки.
Если готовность вентиляции хорошая, тогда размер зоны класса 0 может быть пренебрежимо малых размеров (см. таблицу В.1.).
Расчет N 2
|
Характеристика утечки: |
|
|
Горючее вещество |
Пары толуола |
|
Молярная масса толуола |
92,14 (кг/кмоль) |
|
Источник утечки |
поврежденный фланец |
|
Нижний концентрационный предел воспламенения (НКПР) |
0,046 кг/м (1,2% об.) |
|
Степень утечки |
Вторая |
|
Коэффициент безопасности |
0,5 |
|
Интенсивность утечки |
2,8·10 кг/с |
|
Характеристика вентиляции |
|
|
Закрытое помещение: |
|
|
Кратность воздухообмена |
1/ч (2,8·10 /с) |
|
Коэффициент эффективности рассеивания взрывоопасной смеси |
5 |
|
Температура окружающей среды |
20 °С (293 К)
|
| Температурный коэффициент ( |
1 |
|
Объем помещения |
10·15·6 м |
Минимальный объемный расход свежего воздуха
м
/с
Гипотетический объем
:
м![]()
Время существования
ч
Заключение
Гипотетический объем
значительно меньше
, но больше 0,1 м
. На этом основании уровень вентиляции может рассматриваться как средний. Однако взрывоопасная смесь присутствует длительное время, поэтому условия зоны класса 2 не могут быть выполнены.
Расчет N 3
|
Характеристика утечки: |
|
|
Горючее вещество |
Пропан (газ) |
|
Молярная масса пропана |
44,1 (кг/кмоль) |
|
Источник утечки |
Сопло для заполнения канистры |
|
Нижний концентрационный предел воспламенения (НКПР) |
0,039 кг/м (2,1% об.) |
|
Степень утечки |
первая |
|
Коэффициент безопасности |
0,25 |
|
Интенсивность утечки |
0,005 кг/с |
|
Характеристика вентиляции |
|
|
Закрытое помещение: |
|
|
Кратность воздухообмена |
20/ч (5,6·10 |
|
Коэффициент эффективности рассеивания взрывоопасной смеси |
1 |
|
Температура окружающей среды |
35 °С (308 К) |
| Температурный коэффициент ( |
1,05 |
|
Объем помещения |
10·15·6 м |
Минимальный объемный расход свежего воздуха
м
/с
Гипотетический объем ![]()
м![]()
Время существования
ч
Заключение
Гипотетический объем значительный, но он не превышает значения
. На этом основании уровень вентиляции рассматривают как средний относительно источника и рассматриваемого участка. При времени существования 0,26 ч условия зоны класса 1 не могут быть выполнены, если заполнение канистры происходит часто.
Расчет N 4
|
Характеристика утечки: |
|
|
Горючее вещество |
Аммиак (газ) |
|
Молярная масса аммиака |
17,03 (кг/кмоль) |
|
Источник утечки |
Клапан испарителя |
|
Нижний концентрационный предел воспламенения (НКПР) |
0,105 кг/м (14,8% об.) |
|
Степень утечки |
Вторая |
|
Коэффициент безопасности |
0,5 |
|
Интенсивность утечки |
5·10 кг/с |
|
Характеристика вентиляции |
|
|
Закрытое помещение: |
|
|
Кратность воздухообмена |
15/ч (4,2·10 |
|
Коэффициент эффективности рассеивания взрывоопасной смеси |
1 |
|
Температура окружающей среды |
20 °С (293 К) |
| Температурный коэффициент ( |
1 |
|
Объем помещения, |
10·15·6 м |
Минимальный объемный расход свежего воздуха
м
/с
Гипотетический объем ![]()
м![]()
Время существования
ч (10 мин)
Заключение
Гипотетический объем
незначительный.
Уровень вентиляции можно рассматривать как высокий (
0,1 м
) (см. таблицу В.1).
Если готовность вентиляции хорошая, зона небольшого размера будет относиться к зоне класса 2 (см. таблицу В.1).
Расчет N 5
|
Характеристика утечки: |
|
|
Горючее вещество |
Пропан (газ) |
|
Молярная масса пропана |
44,1 (кг/кмоль) |
|
Источник утечки |
уплотнение компрессора |
|
Нижний концентрационный предел воспламенения (НКПР) |
0,039 кг/м |
|
Степень утечки |
вторая |
|
Коэффициент безопасности, |
0,5 |
|
Интенсивность утечки |
0,02 кг/с |
|
Характеристика вентиляции |
|
|
Закрытое помещение: |
|
|
Кратность воздухообмена |
2/ч (5,6·10 |
|
Коэффициент эффективности рассеивания взрывоопасной смеси |
5 |
|
Температура окружающей среды |
20 °С (293 К) |
| Температурный коэффициент ( |
1 |
Минимальный объемный расход свежего воздуха
м
/с
Гипотетический объем ![]()
м![]()
Время существования
ч
Заключение
В помещении, например с размерами 10·15·6 м, гипотетический объем
превышает объем помещения
, и время существования взрывоопасной смеси значительное.
Уровень вентиляции рассматривают как низкий.
Зона могла бы быть классифицирована, по меньшей мере, как зона класса 1 или даже как зона класса 0, независимо от готовности вентиляции (см. таблицу В.1). Но это неприемлемо. Необходимо принять меры для снижения интенсивности утечки, либо значительно улучшить вентиляцию, может быть, за счет местной вытяжной вентиляции вблизи источника утечки.
Расчет N 6
|
Характеристика утечки: |
|
|
Горючее вещество |
Метан (газ) |
|
Молярная масса метана |
16,05 (кг/кмоль) |
|
Источник утечки |
Соединительная муфта трубопровода |
|
Нижний концентрационный предел воспламенения (НКПР) |
0,033 кг/м |
|
Степень утечки |
вторая |
|
Коэффициент безопасности |
0,5 |
|
Интенсивность утечки |
1 кг/с |
|
Характеристика вентиляции |
|
|
Наружные условия: |
|
|
Минимальная скорость ветра |
0,5 м /с |
|
Кратность воздухообмена |
>3·10 |
|
Коэффициент эффективности рассеивания взрывоопасной смеси |
3 |
|
Температура окружающей среды |
15 °С (288 К) |
| Температурный коэффициент ( |
0,98 |
Минимальный объемный расход свежего воздуха
м
/с
Гипотетический объем ![]()
м![]()
Время существования (максимальное значение)
с
Заключение
Гипотетический объем
значительный. Если исходить из предположения (см. В.4.2.), что для наружной установки величина
будет 3400 м
, тогда
будет меньше
.
Поэтому уровень вентиляции может считаться средним по отношению к источнику утечки и рассматриваемой зоне.
Готовность вентиляции для наружной установки хорошая, и поэтому зона будет классифицироваться как зона класса 2 (см. Таблицу В.1).
Расчет N 7
|
Характеристика утечки: |
|
|
Горючее вещество |
Пары толуола |
|
Молярная масса толуола |
92,14 (кг/кмоль) |
|
Источник утечки |
Поврежденный фланец |
|
Нижний концентрационный предел (НКПР) |
0,046 кг/м |
|
Степень утечки |
Вторая |
|
Коэффициент безопасности |
0,5 |
|
Интенсивность утечки |
6·10 |
|
Характеристика вентиляции |
|
|
Закрытое помещение: |
|
|
Кратность воздухообмена |
12/ч (3,33·10 |
|
Коэффициент эффективности рассеивания взрывоопасной смеси |
2 |
|
Температура окружающей среды |
20 °С (293 К) |
| Температурный коэффициент ( |
1 |
|
Объем помещения |
10·15·6 м |
Минимальный объемный расход свежего воздуха
м
/с
Гипотетический объем ![]()
м![]()
Время существования
ч (51 мин)
Заключение
Гипотетический объем
значительный, но он не превышает значения
. Уровень вентиляции следует рассматривать как средний относительно источника и рассматриваемой зоны.
Если готовность вентиляции хорошая, исходя из времени существования взрывоопасной смеси, можно принять, что выполняются условия зоны класса 2 (см. таблицу В.1).
Приложение С
(справочное)
Примеры классификации взрывоопасных зон
С.1 Для классификации зон требуется знание характеристик высвобождаемых горючих газов и жидкостей, а также рабочих характеристик технологического оборудования и его частей в определенных условиях эксплуатации. По этой причине в настоящем стандарте не приводится описание всего возможного разнообразия технологического оборудования и свойств перерабатываемых горючих веществ. Приведенные примеры подобраны таким образом, чтобы показать общий подход к классификации взрывоопасных зон.
С.2 Показанные на рисунках расстояния, в пределах которых существуют взрывоопасные зоны, определены для оборудования конкретных видов. Параметры утечек устанавливались исходя из характеристик и конструктивных данных технологического оборудования. Эти данные не являются универсальными, поскольку такие факторы, как количество горючего материала, время выделения, время рассеивания, давление, температура и другие параметры, относящиеся к технологическому оборудованию и перерабатываемым горючим материалам и влияющие на классификацию зоны, должны рассматриваться с учетом особенностей в каждом конкретном случае. Таким образом, эти примеры дают лишь общие представления о том, как и какие параметры следует учитывать при классификации взрывоопасных зон.
С.3 При использовании на практике примеров из настоящего стандарта для классификации зон в каждом случае должны учитываться конкретные особенности.
С.4 Результаты классификации зоны носят, как правило, относительный характер, поскольку не все параметры, которые влияют на класс и размеры зоны, даже если они установлены, могут быть определены количественно. Поэтому для повышения точности результатов по классификации зон необходимо как можно полнее определить параметры (по составу и количественно), которые оказывают влияние на класс зоны.
С.5 Основной целью приводимых примеров является не их прямое использование для классификации зон, а иллюстрация типичных результатов, которые могут быть получены на практике в различных условиях при использовании рекомендаций и методов, содержащихся в настоящем стандарте (таблица В.1). Кроме этого, они могут быть полезны для разработки других нормативных документов по классификации зон.
С.6 Числовые значения, использованные в примерах, взяты или близко согласуются с данными, содержащимися в различных национальных стандартах или отраслевых правилах (нормах). Эти данные носят рекомендательный характер.
С.7 Данные по классам и размерам зон, полученные на основании требований, содержащихся в национальных стандартах или отраслевых правилах (нормах), могут отличаться от данных, приводимых в настоящем стандарте.
Пример N 1
Промышленный насос с механическим (диафрагма) уплотнением для перекачки горючей жидкости, установленный снаружи на уровне земли

С учетом приведенных параметров для насоса производительностью 50 м![]()
/ч, работающего при низком давлении, получены следующие значения размеров зоны:
3 м в горизонтальном направлении от источника утечки;
1 м от уровня земли и 1 м над источником утечки.
Пример N 2
Промышленный насос с механическим (диафрагма) уплотнением для перекачки горючей жидкости, установленный снаружи на уровне земли

Размеры не обозначены, поскольку взрывоопасная зона будет существовать во всем объеме ![]()
и определяться размерами помещения.
Если уровень вентиляции будет доведен до среднего, тогда взрывоопасная зона будет меньше ![]()
и это будет зона класса 2 (см. таблицу В.1).
Пример N 3
Выпускной клапан высокого давления технологического резервуара, установленного на открытом воздухе

С учетом приведенных параметров для давления в резервуаре ~0,15 МПа (1,5 бар) получены следующие значения размеров зоны:
3 м во всех направлениях от источника утечки;
5 м во всех направлениях от источника утечки.
Пример N 4
Клапан сброса горючего газа, установленный на закрытом участке трубопровода

С учетом приведенных параметров взрывоопасная зона находится на расстоянии ![]()
1 м во всех направлениях от источника утечки.
Пример N 5
Смесительный резервуар, установленный внутри помещения, крышка которого периодически открывается. Горючая жидкость закачивается в резервуар и выкачивается из него через сварные трубопроводы, присоединенные к резервуару фланцами

С учетом приведенных данных взрывоопасная зона имеет следующие размеры:
1 м в горизонтальном направлении от источника утечки;
1 м над источником утечки;
1 м в горизонтальном направлении;
2 м в горизонтальном направлении;
1 м над уровнем земли.
Пример N 6
Гравитационный сепаратор нефти/воды, установленный снаружи на поверхности земли

С учетом приведенных данных взрывоопасная зона имеет следующие размеры:
3 м в горизонтальном направлении от сепаратора;
1 м над уровнем земли;
7,5 м в горизонтальном направлении;
3 м над уровнем земли.
Пример N 7
Компрессор водорода в помещении, открытом в нижней части (на уровне земли)

С учетом приведенных данных взрывоопасная зона имеет следующие размеры:
3 м в горизонтальном направлении от источника утечки;
1 м в горизонтальном направлении от вентиляционных отверстий;
1 м над вентиляционными отверстиями.
Пример N 8
Резервуар для хранения горючей жидкости, установленный снаружи, с неподвижной крышей и без внутренней плавающей крышки

С учетом приведенных данных взрывоопасная зона имеет следующие размеры:
3 м от выпускных отверстий;
3 м над крышей;
3 м в горизонтальном направлении от резервуара.
Пример N 9
Установка для заправки бензином автоцистерн, располагаемая снаружи, заполнение которой проводится сверху без улавливания пара

С учетом приведенных данных взрывоопасная зона имеет следующие размеры:
1,5 м в горизонтальном направлении от источника утечки;
1,5 м в горизонтальном направлении от колонки;
1,5 м над источником утечки;
1 м над уровнем земли;
4,5 м в горизонтальном направлении от дренажного канала;
1,5 м в горизонтальном направлении от зоны 1;
1,0 м над зоной 1.
Примечания
1 - Для закрытой системы с улавливанием пара расстояния могут быть уменьшены таким образом, что размеры взрывоопасной зоны класса 1 становятся пренебрежимо малыми, а размеры зоны класса 2 значительно уменьшаются.
2 - Утечки в результате перелива маловероятны при использовании систем пароулавливания.
Пример N 10
Помещение для смешивания красок в цеху по производству красок

В данном примере для классификации помещения, в котором установлены три насоса для жидкости и четыре резервуара для смешивания красок используются примеры 2 и 5.
Основные факторы, влияющие на взрывоопасность зоны, приведены в таблицах к примерам 2 и 5.
Для данного примера с учетом соответствующих параметров (см. технические характеристики для классификации опасных зон), взрывоопасные зоны имеют следующие размеры:
2 м;
4 м;
3 м.
На рисунке примера N 10 показан вид сверху. Размеры зон в вертикальном направлении приведены в примерах 2 и 5.
Примечание - Как показано в примерах 2 и 5, зоны вокруг источников утечки имеют цилиндрическую форму. Однако если резервуары расположены близко друг к другу, зоны обычно принимают форму куба. Поэтому между резервуарами не остается пространства, которое могло бы быть отнесено к взрывобезопасному.
Предполагается, что насосы и резервуары соединены сварными трубопроводами и что фланцы, клапаны и т.п. расположены вблизи них.
На практике в помещении могут быть другие источники утечки, например открытые резервуары, но они не были учтены в данном примере.
В случаях, когда площадь помещения небольшая, все помещение относят к зоне класса 2.
Исходные данные и показатели по классификации взрывоопасных зон - Часть I: Перечень и характеристики горючих веществ
Лист 1/2
|
Установка: цех по производству красок (Пример 10) |
||||||||||
|
Горючий материал |
НКПР |
Испаряемость |
||||||||
|
Наименование |
Химический состав |
Температура вспышки, °С |
кг/м |
% об. |
Давление насыщенного пара при 20 °С, кПа |
Точка кипения, °С |
Плотность газа или пара по отношению к плотности воздуха |
Температура самовоспла- менения, °С |
Группа и температур- ный класс |
Другая информация и замечания |
|
Растворитель с низкой температурой вспышки |
|
Минус 18 |
0,042 |
1,2 |
5,8 |
81 |
2,9 |
260 |
IIАТЗ |
|
Исходные данные и показатели по классификации взрывоопасных зон - Часть II: Перечень источников утечек горючих веществ
Лист 2/2
|
Установка: Цех по производству красок (Пример 10) |
||||||||||||||
|
Чертеж/Схема |
||||||||||||||
|
Источник утечки |
Горючий материал |
Вентиляция |
Взрывоопасная зона |
Другая информация и замечания |
||||||||||
|
Описание |
Расположе- ние |
Степень утечки |
Номер горючего вещества в перечне |
Температура, °C |
Давление кПа |
Состояние |
Тип |
Уровень |
Готовность |
Зона класса |
Размеры зоны, м |
Ссылка |
||
|
по вертикали |
по горизон- тали |
|||||||||||||
|
Уплотнение насоса для перекачки растворителя |
Площадка насоса |
В |
1 |
Помещения |
Окружающее |
Ж |
И |
Средний |
Средняя |
2 |
1,0* |
3,0* |
Пример N 2 |
* Над источником утечки ** От источника утечки |
|
Поверхность жидкости в резервуаре для смешивания |
Площадка смешивания |
Н |
1 |
Помещения |
Окружа- ющее |
Ж |
И |
Низкий |
Плохая |
0 |
* |
* |
Пример N 5 |
* Внутри резервуара |
|
Отверстие в резервуаре для смешивания |
Площадка смешивания |
П |
1 |
Помещения |
Окружа- ющее |
Ж |
И |
Средний |
Средняя |
1 |
1,0* |
2,0* |
Пример N 5 |
* Над отверстием ** От отверстия |
|
Расплескивание из резервуара для смешивания |
Площадка смешивания |
В |
1 |
Помещения |
Окружа- ющее |
Ж |
И |
Средний |
Средняя |
2 |
1,0* |
2,0* |
Пример N 2 |
* Над уровнем земли ** От резервуара |
Пример N 11
Резервуарный парк для бензина и нефти

В данном примере показан один из способов применения примеров 1, 6, 8 и 9. В этом упрощенном примере три резервуара (обвалованные) для хранения бензина (поз.3), пять насосов для жидкости (поз.1), установленные вблизи друг от друга и один отдельный насос (поз.1), одна установка для заправки автоцистерн (поз.4), два резервуара для нефти (поз.5) и один гравитационный сепаратор нефти/воды (поз.2) расположены в пространстве резервуарного парка.
Основные факторы, влияющие на класс зоны, приведены в таблицах к примерам 1, 6, 8 и 9.
Для настоящего примера с учетом соответствующих данных (см. технические данные по классификации опасных зон) взрывоопасные зоны имеют следующие размеры:
3 м;
7,5 м;
4,5 м;
1,5 м.
На рисунке 11 показан вид сверху. Размеры зон в вертикальном направлении приведены в примерах 1, 6, 8 и 9.
Подробную информацию (зоны внутри резервуаров, размер зон, зоны вокруг выпускных отверстий резервуаров и т.д.) см. в примерах 1, 6, 8 и 9.
Примечание - Для правильной классификации взрывоопасных зон внутри резервуаров и в сепараторе (зона класса 0), а также зон вокруг выпускных отверстий резервуаров (зона класса 1) следует использовать примеры 1, 6, 8 и 9.
На практике могут существовать другие источники утечки, однако, для упрощения, они не учитывались.
Исходные данные и показатели по классификации взрывоопасных зон - Часть I: Перечень и характеристики горючих веществ
Лист 1/3
|
Установка: оборудование резервуарного парка для бензина и нефтяного топлива (Пример 11) |
||||||||||
|
Чертеж/Схема |
||||||||||
|
Горючий материал |
НКПР |
Испаряемость |
Относительная плотность газа или пара |
Температура самовоспла- менения, °С |
Категория и группа |
Другая информация и замечания |
||||
|
Наименование |
Химический состав |
Температура вспышки, °С |
кг/м |
%, об. |
Давление насыщенного пара при 20 °С, кПа |
Точка кипения, °С |
||||
|
Бензин |
- |
Менее 0 |
0,022 |
0,7 |
50 |
Менее 210 |
Более 2,5 |
280 |
IIАТ3 |
- |
|
Нефтяное топливо |
- |
55-65 |
0,043 |
1 |
6 |
200 |
3,5 |
330 |
IIАТ2 |
- |
|
Вода с примесями нефти и бензина |
- |
Менее 0 |
- |
Более 0,7 |
- |
- |
Более 1,2 |
Более 280 |
IIАТ3 |
Расчетные значения |
Исходные данные и показатели по классификации взрывоопасных зон - Часть II: Перечень источников утечек горючих веществ
Лист 2/3
|
Установка: Оборудование резервуарного парка для бензина и нефтяного топлива (Пример 11) |
||||||||||||||||||||
|
Источник утечки |
Горючий материал |
Вентиляция |
Взрывоопасная зона |
Другая информация и замечания |
||||||||||||||||
|
Описание |
Распо- ложение |
Степень утечки |
Номер горючего вещества в перечне |
Температура, °C |
Давление, кПа |
Состояние |
Тип |
Уровень |
Готов- ность |
Зона класса (0, 1, 2) |
Размеры зоны, м |
Ссылка |
||||||||
|
Уплотнение бензинового насоса |
Площадка насоса |
В |
1 |
15 |
500 |
Ж |
И |
Средний |
Средняя |
2 |
1,0* |
3,0** |
Пример N 1 |
* Над источником утечки ** От источника утечки |
||||||
|
Поверхность жидкости в сепараторе |
Площадка очистки сточных вод |
Н |
3 |
15 |
101,325 |
Ж |
Е |
Низкий |
Хорошая |
0 |
* |
* |
Пример N 6 |
* Внутри сепаратора ** Ниже уровня земли |
||||||
|
Средний |
Хорошая |
1 |
1,0* |
3,0** |
Пример N 6 |
* Над уровнем земли ** От сепаратора |
||||||||||||||
|
Средний |
Хорошая |
2 |
3,0* |
7,5** |
Пример N 6 |
* Над уровнем земли ** От сепаратора |
||||||||||||||
|
Поверхность жидкости в резервуарах для бензина |
Резервуар |
Н |
1 |
15 |
101,325 |
Ж |
Е |
Средний |
Плохая |
0 |
* |
* |
Пример N 8 |
* Внутри резервуара |
||||||
|
Выпускное отверстие в резервуаре для бензина |
Резервуар |
П |
1 |
15 |
101,325 |
Ж |
Е |
Средний |
Хорошая |
1 |
3,0* |
3,0** |
Пример N 8 |
* 3 м вокруг выпускного отверстия |
||||||
|
Фланцы и другие источники внутри обвалования резервуаров для бензина |
Резервуар |
В |
1 |
15 |
101,325 |
Ж |
Е |
Средний |
Средняя |
2 |
* |
* |
Пример N 8 |
* Внутри обвалования |
||||||
|
Перелив резервуаров для бензина |
Резервуар |
В |
1 |
15 |
101,325 |
Ж |
Е |
Средний |
Хорошая |
2 |
3,0* |
3,0** |
Пример N 8 |
* Над уровнем земли |
||||||
|
Отверстие в крышке резервуара установки для заполнения автоцистерн |
Площадка заполнения автоцистерн |
П |
1 |
15 |
101,325 |
Ж |
Е |
Средний |
Хорошая |
1 |
1,5* |
1,5** |
Пример N 9 |
* Над уровнем земли ** От источника утечки
|
||||||
|
2 |
1,0* |
1,5* |
Пример N 9 |
* Над источником утечки ** От источника утечки |
||||||||||||||||
Окончание таблицы (часть II)
Лист 3/3
|
Источник утечки |
Горючее вещество |
Вентиляция |
Взрывоопасная зона |
|||||||||||
|
Описание |
Распо- ложение |
Степень утечки |
Номер горючего вещества в перечне |
Температура, °C |
Давление, кПа |
Состояние |
Тип |
Уровень |
Готов- ность |
Зона класса |
Размеры зоны, м |
Ссылка |
Другая информация и замечания |
|
|
По вертикали |
По горизонтали |
|||||||||||||
|
Лужа на дне дренажного канала установки для заполнения автоцистерн |
Площадка заполнения автоцистерн |
В |
1 |
15 |
101,325 |
Ж |
Е |
Средний |
Хорошая |
2 |
1,0* |
4,5** |
Пример N 9 |
* Над уровнем земли ** От дренажного канала |
|
Резервуар для нефтяного топлива |
Резер- вуарный парк |
- |
2 |
- |
- |
Ж |
- |
- |
- |
* |
- |
- |
- |
* Зона взрывобезопас- ная в связи с высокой температурой вспышки нефти |
Таблица С.1 - Исходные данные и показатели по классификации взрывоопасных зон - Часть I. Перечень и характеристики горючих веществ
Лист 1/1
|
Установка: |
||||||||||
|
Горючий материал |
НКПР |
Испаряемость |
Относительная плотность газа или пара |
Температура самовоспла- менения, °С |
Категория и группа |
Другая информация и замечания |
||||
|
Наименование |
Химический состав |
Температура вспышки, °С |
кг/м |
% от объема |
Давление насыщенного пара при 20 °С, кПа |
Точка кипения, °С |
||||
(см. 4.4.1d). |
||||||||||
Таблица С.2 - Исходные данные и показатели по классификации взрывоопасных зон - Часть II. Перечень и характеристики горючих веществ
Лист 1/1
|
Установка: |
||||||||||||||
|
Чертеж |
||||||||||||||
|
Источник утечки |
Горючее вещество |
Вентиляция |
Взрывоопасная зона |
Другая информация и замечания |
||||||||||
|
Описание |
Расположение |
Степень утечки |
Номер горючего вещества в перечне |
Температура, °C |
Давление, кПа |
Состояние |
Тип |
Уровень |
Готов- ность |
Зона класса |
Размеры зоны, м |
Ссылка |
||
|
По вертикали |
По горизонтали |
|||||||||||||

Рисунок С.1 - Предпочтительные обозначения при классификации взрывоопасных зон
|
|
________________
Должна быть зона класса 0, если уровень вентиляции настолько низок и утечка настолько велика, что взрывоопасная газовая смесь присутствует постоянно.
Размеры зоны класса 2, образовавшейся из-за утечки второй степени, могут превысить размеры взрывоопасной зоны из-за постоянной утечки и утечки второй степени.
Обозначения 0 ПМ, 1 ПМ и 2 ПМ указывают на то, что из-за наличия источника утечки зоны классов 0, 1 и 2 существуют, но они имеют пренебрежимо малые размеры.
Рисунок С.2 - Схема классификации взрывоопасных зон
Примечания
1 Знак "+" означает, что зона одного класса (например, класса 0) окружена зоной другого класса.
2 Один источник утечки может вызвать несколько разных уровней утечки или их сочетание.
Приложение D
(справочное)
Горючий туман (аэрозоль)
D.1 Во время транспортировки жидкости при температуре не менее температуры вспышки любая утечка должна рассматриваться с учетом стандартной классификации зон, представленной в настоящем стандарте. Если утечка происходит при температуре ниже температуры вспышки, возможно образование облака горючего тумана.
Жидкости, которые в соответствии с настоящим стандартом не рассматриваются как опасные, могут образовывать горючий туман, способный привести к опасности возникновения взрыва. Примерами таких жидкостей являются жидкие топлива с высокой температурой вспышки, масла теплообменников и смазочные масла.
D.2 На практике при утечке жидкости образуются капли разных размеров, при этом капли большего размера немедленно конденсируются, и лишь незначительная часть выделившейся жидкости присутствует в воздухе в виде аэрозоля. Воспламеняемость тумана зависит от его концентрации в воздухе (мелкие капли и пар), летучести и размеров капель внутри облака. Размер капель зависит от давления, при котором выделяется жидкость, свойств жидкости (прежде всего, плотности, поверхностного натяжения и вязкости) и размера и формы проема, через который происходит выделение жидкости. Обычно при более высоком давлении и меньших размерах проемов степень распыления вытекающей струи повышается, и таким образом повышается взрывоопасность. С другой стороны, чем меньше проемы, через которые происходит утечка, тем меньше интенсивность утечки и взрывоопасность.
D.3 Капли аэрозольного размера представляют собой наиболее легко воспламеняющуюся часть облака тумана. Однако они составляют лишь небольшую часть общей утечки. Эта часть может увеличиваться, если струя сталкивается с расположенной поблизости поверхностью.
Примечания
1 Аэрозоли - мелкие (от менее 1 микрона до 50 микрон) частицы, находящиеся во взвешенном состоянии в атмосфере.
2 Капли аэрозольного размера могут составлять 1% от общей массы утечки в зависимости от условий утечки.
3 Облака мелких капель топлива обычно трудно воспламеняемые при отсутствии достаточной массы пара и очень мелких капель.
D.4 Вероятность образования горючего тумана при утечке жидкости в нормальном режиме работы и/или при ожидаемых неисправностях следует тщательно оценивать, так же как вероятность событий, способных привести к такой утечке.
Оценка может показать, что вероятность утечки материала очень мала, или что облако тумана может образовываться только при редких неисправностях или внезапных и полных отказах. Хотя настоящий стандарт не распространяется на внезапные и полные отказы, их нельзя полностью игнорировать.
Оценки должны быть основаны на примерах или опыте работы с подобными установками. Однако, вследствие термодинамической нестабильности туманов и большого числа факторов, влияющих на образование и горючесть туманов, не могут существовать примеры для всех ситуаций. В таких случаях оценка должна основываться на соответствующих данных.
D.5 Необходимо отметить, что туман образуется не при всех утечках, например, утечки через разрушенные прокладки фланцев или сальники/сальниковые коробки, являющиеся наиболее распространенными утечками второй степени газов и паров, обычно незначительны для вязких жидкостей и в большинстве случаев вызывают капание (капеж), а не образование тумана.
Это означает, что вероятность образования тумана при утечке через стыки трубопроводов, клапаны и т.д. следует тщательно изучать. При этом следует учитывать физические свойства жидкости, условия ее транспортировки, детали конструкции оборудования, применяемого для ее обработки, качество оборудования и наличие препятствий вблизи источника утечки.
Примечание - Взрывы туманов, образовавшихся при утечке жидкости при температуре ниже температуры вспышки, в обрабатывающей промышленности происходят нечасто. Вероятно, это связано с трудностью образования капелек достаточно малого размера при случайной утечке.
D.6 Если образование горючего тумана возможно, то источник утечки следует изолировать, например, пористыми щитками для поглощения тумана и снижения опасности воспламенения. Если изолирующие или подобные устройства установить невозможно, зону следует считать взрывоопасной.
Однако, поскольку механизмы рассеивания и критерии воспламеняемости для тумана не такие, как для газов и паров, методика классификации, приведенная в приложении В, не может быть применена.
Примечания
1 Условия, необходимые для образования горючего тумана, настолько сложны, что применим только качественный анализ. Рекомендуется определять факторы, связанные с транспортируемой жидкостью и способствующие образованию горючего тумана. Этих факторов, наряду с оценкой вероятности событий, приводящих к утечке жидкости, может быть достаточно для оценки степени опасности и принятия решения о классификации зоны по взрывоопасности.
2 Как правило, только интенсивность утечки имеет значение для определения класса зоны.
В большинстве случаев это утечка второй степени. Утечки первой степени обычно связаны с оборудованием, предназначенным для распыления, например, для окраски распылением.
3 Если установлено, что зона взрывоопасная, ее следует обозначить на чертеже таким образом, чтобы она отличалась от других зон, связанных с газами или парами, например, соответствующей маркировкой.
D.7 Даже туман, не воспламеняющийся в соответствии с критериями размеров капелек, может случайно попасть на горячую поверхность и вызвать опасность возникновения пожара. Необходимо принять меры для изоляции потенциальных утечек и предотвращения контакта тумана с горячими поверхностями.
D.8 Туман, подобно горючим парам и пыли, воспламеняется даже в минимальной концентрации.
Туман, образованный невоспламеняемыми жидкостями, обычно образует густое облако, которое значительно снижает видимость.
Следует также учитывать, что туман видим, поэтому утечки можно своевременно обнаружить и снизить.
Примечание - Значения нижнего предела воспламеняемости для аэрозолей, образуемых топливом, равны или ниже значений для паров, образуемых топливом.
D.9 Горючий туман может образовываться внутри оборудования в связи с наличием систем смазки, разбрызгиванием или взбалтыванием в ходе технологического процесса. В связи с этим внутренние части технологической установки должны рассматриваться как взрывоопасные зоны.
В некоторых случаях такие туманы отводят в атмосферу, например, туманы от смазочного масла - через сапуны картера, выходные отверстия баков или коробок передач, что создает опасность возникновения пожара. Вместо отвода тумана рекомендуется использовать туманоуловители.
D.10 Особое внимание следует уделить ситуациям, в которых жидкости разбрызгивают специально, например, при окраске распылением. Класс зоны в таких случаях обычно устанавливают в соответствии со специальными отраслевыми правилами.
Приложение ДА
(справочное)
Сведения о соответствии межгосударственных стандартов ссылочным международным стандартам
Таблица ДА.1
|
Обозначение и наименование ссылочного международного стандарта |
Степень соответствия |
Обозначение и наименование соответствующего межгосударственного стандарта |
|
IEC 60050-426:2008 Международный электротехнический словарь. Глава 151: Электрические и магнитные устройства |
IDT |
ГОСТ IEC 60050-426-2011 Международный электротехнический словарь. Глава 151: Электрические и магнитные устройства* |
|
IEC 60079-4 Электрооборудование для взрывоопасных газовых сред. Часть 4: Метод определения температуры воспламенения |
MOD |
ГОСТ 30852.5-2002 (МЭК 60079-4-75) Электрооборудование взрывозащищенное. Часть 4. Метод определения температуры самовоспламенения |
|
IEC 60079-4A Электрооборудование для взрывоопасных газовых сред. Часть 4: Метод определения температуры воспламенения. 1-е дополнение |
- |
* |
|
IEC 60079-20 Электрооборудование для взрывоопасных газовых сред. Часть 20. Данные по горючим газам и парам, относящиеся к эксплуатации электрооборудования |
MOD |
ГОСТ 30852.19-2002 (МЭК 60079-20-96) Электрооборудование взрывозащищенное. Часть 20. Данные по горючим газам и парам, относящиеся к эксплуатации электрооборудования |
|
* Соответствующий межгосударственный стандарт отсутствует. До его утверждения рекомендуется использовать перевод на русский язык данного международного стандарта. Перевод данного международного стандарта находится в Федеральном информационном фонде технических регламентов и стандартов. Примечание - В настоящей таблице использованы следующие условные обозначения степени соответствия стандартов: - IDT - идентичные стандарты; - MOD - модифицированные стандарты. |
||
|
УДК 621.3.002:5:006.354 |
МКС 29.260.20 |
IDT |
1311
